Студопедия

КАТЕГОРИИ:


Архитектура-(3434)Астрономия-(809)Биология-(7483)Биотехнологии-(1457)Военное дело-(14632)Высокие технологии-(1363)География-(913)Геология-(1438)Государство-(451)Демография-(1065)Дом-(47672)Журналистика и СМИ-(912)Изобретательство-(14524)Иностранные языки-(4268)Информатика-(17799)Искусство-(1338)История-(13644)Компьютеры-(11121)Косметика-(55)Кулинария-(373)Культура-(8427)Лингвистика-(374)Литература-(1642)Маркетинг-(23702)Математика-(16968)Машиностроение-(1700)Медицина-(12668)Менеджмент-(24684)Механика-(15423)Науковедение-(506)Образование-(11852)Охрана труда-(3308)Педагогика-(5571)Полиграфия-(1312)Политика-(7869)Право-(5454)Приборостроение-(1369)Программирование-(2801)Производство-(97182)Промышленность-(8706)Психология-(18388)Религия-(3217)Связь-(10668)Сельское хозяйство-(299)Социология-(6455)Спорт-(42831)Строительство-(4793)Торговля-(5050)Транспорт-(2929)Туризм-(1568)Физика-(3942)Философия-(17015)Финансы-(26596)Химия-(22929)Экология-(12095)Экономика-(9961)Электроника-(8441)Электротехника-(4623)Энергетика-(12629)Юриспруденция-(1492)Ядерная техника-(1748)

Следствия из преобразований Лоренца. Лоренцово сокращение пространственных интервалов




Кинетическая энергия абсолютно твердого тела.

Абсолютно твердое тело — физическая модель (типа как материальная точка).

Абсолютно твердое тело — механическая система, обладающая только поступательными и вращательными степенями свободы. «Твёрдость» означает, что тело не может быть деформировано, то есть телу нельзя передать никакой другой энергии, кроме кинетической энергии поступательного или вращательного движения.

В 3D абсолютно твердое тело имеет 6 степеней свободы.

Для абсолютно твёрдого тела полную кинетическую энергию можно записать в виде суммы кинетической энергии поступательного и вращательного движения: где:

— масса тела

— скорость центра масс тела

— момент инерции тела

— угловая скорость тела.

Следствия:1- События в разных системах отсчета одновремены (Если события в системе К происходят в одной точке (X1=X2) и являются одновременными (t1-=t2), то, согласно преобразованиям Лоренца (X1=X2) и (t1=t2) т.е эти события являются одновременными и пространственно совпадающими для любой инерциальной системы отсчета.)2- Длительность событий в разных системах отсчета (длительность события, происходящего в некоторой точке, наименьшая в той инерциальной системе отсчета, относительно которой эта точка неподвижна)3 -Длина тел в разных системах отсчета (линейные размеры тела наибольшие в той инерциальной системе отсчета, относительно которой тело покоится)

4- Релятивитский закон сложения скоростей (,где v- скорость, с- скорость света

(Справка: все что со штрихом- это в системе K')

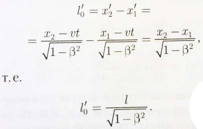
Если в одной системе отсчета покоящаяся тело имеет длину l, то в системе отсчета, в которой тело движется вдоль своей оси, ее длина:

Этот эффект называется Лоренцово сокращением продольных размеров тела. Поперечные размеры тела не изменяются при переходе в другие инерциальные системы отсчета.

l0’-длинна в неподвижном состоянии

l-длинна в подвижном состоянии

β=v/c

v-скорость

с-скорость света (3*10м/с)

 

 




Поделиться с друзьями:


Дата добавления: 2014-12-25; Просмотров: 458; Нарушение авторских прав?; Мы поможем в написании вашей работы!


Нам важно ваше мнение! Был ли полезен опубликованный материал? Да | Нет



studopedia.su - Студопедия (2013 - 2025) год. Все материалы представленные на сайте исключительно с целью ознакомления читателями и не преследуют коммерческих целей или нарушение авторских прав! Последнее добавление




Генерация страницы за: 0.01 сек.