Студопедия

КАТЕГОРИИ:


Архитектура-(3434)Астрономия-(809)Биология-(7483)Биотехнологии-(1457)Военное дело-(14632)Высокие технологии-(1363)География-(913)Геология-(1438)Государство-(451)Демография-(1065)Дом-(47672)Журналистика и СМИ-(912)Изобретательство-(14524)Иностранные языки-(4268)Информатика-(17799)Искусство-(1338)История-(13644)Компьютеры-(11121)Косметика-(55)Кулинария-(373)Культура-(8427)Лингвистика-(374)Литература-(1642)Маркетинг-(23702)Математика-(16968)Машиностроение-(1700)Медицина-(12668)Менеджмент-(24684)Механика-(15423)Науковедение-(506)Образование-(11852)Охрана труда-(3308)Педагогика-(5571)Полиграфия-(1312)Политика-(7869)Право-(5454)Приборостроение-(1369)Программирование-(2801)Производство-(97182)Промышленность-(8706)Психология-(18388)Религия-(3217)Связь-(10668)Сельское хозяйство-(299)Социология-(6455)Спорт-(42831)Строительство-(4793)Торговля-(5050)Транспорт-(2929)Туризм-(1568)Физика-(3942)Философия-(17015)Финансы-(26596)Химия-(22929)Экология-(12095)Экономика-(9961)Электроника-(8441)Электротехника-(4623)Энергетика-(12629)Юриспруденция-(1492)Ядерная техника-(1748)

Метод заміни змінної




Методи інтегрування. Метод безпосереднього інтегрування. Метод зведення під знак диференціала.

Метод інтегрування, при якому даний інтеграл шляхом тотожних перетворень підінтегральної функції (або виразу) і застосування властивостей невизначеного інтеграла зводиться до одного або декількох табличних інтегралів, називається безпосереднім інтегруванням.

При зведенні даного інтеграла до табличного часто використовуються наступні перетворення диференціала (операція «приведення під знак диференціала»):

, – число

, – число

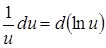
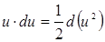
,

,

,

,

.

Взагалі, , ця формула дуже часто використовується при обчисленні інтегралів.

Приклади:

1) (формула 2 таблиці інтегралів);

2) (формула 1);

3) (формула 13);

4)

(формули 1 і 6);

5)

;

Інтегрування методом підстановки полягає у введенні нової змінної інтегрування (тобто підстановкою). При цьому заданий інтеграл приводиться до нового інтеграла, який є табличним або таким, що зводиться до нього (у разі «вдалої підстановки»). Загальних методів підбору підстановок не існує. Уміння правильно визначити підстановку отримується практикою.

Нехай потрібно обчислити інтеграл . Зробимо підстановку , де – функція, що має неперервну похідну.

Тоді і на підставі властивості інваріантності формули інтеграції невизначеного інтеграла отримуємо формулу інтегрування підстановкою

Формула (2.1) також називається формулою заміни змінних в невизначеному інтегралі. Після знаходження інтеграла правої частини цієї рівності слід перейти від нової змінної інтеграції назад до змінної .

Приклад 1. Знайти .

 Покладемо , тоді . Отже .

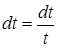
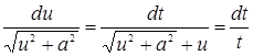
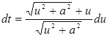
Приклад 3. Отримати формулу .

Позначимо (підстановка Ейлера). Тоді , тобто .

Звідси

.

Отже

.

Приклад 5. Знайти .

 Позначимо . Тоді , . Отже

.

 




Поделиться с друзьями:


Дата добавления: 2014-12-26; Просмотров: 2435; Нарушение авторских прав?; Мы поможем в написании вашей работы!


Нам важно ваше мнение! Был ли полезен опубликованный материал? Да | Нет



studopedia.su - Студопедия (2013 - 2026) год. Все материалы представленные на сайте исключительно с целью ознакомления читателями и не преследуют коммерческих целей или нарушение авторских прав! Последнее добавление




Генерация страницы за: 0.014 сек.