Студопедия

КАТЕГОРИИ:


Архитектура-(3434)Астрономия-(809)Биология-(7483)Биотехнологии-(1457)Военное дело-(14632)Высокие технологии-(1363)География-(913)Геология-(1438)Государство-(451)Демография-(1065)Дом-(47672)Журналистика и СМИ-(912)Изобретательство-(14524)Иностранные языки-(4268)Информатика-(17799)Искусство-(1338)История-(13644)Компьютеры-(11121)Косметика-(55)Кулинария-(373)Культура-(8427)Лингвистика-(374)Литература-(1642)Маркетинг-(23702)Математика-(16968)Машиностроение-(1700)Медицина-(12668)Менеджмент-(24684)Механика-(15423)Науковедение-(506)Образование-(11852)Охрана труда-(3308)Педагогика-(5571)Полиграфия-(1312)Политика-(7869)Право-(5454)Приборостроение-(1369)Программирование-(2801)Производство-(97182)Промышленность-(8706)Психология-(18388)Религия-(3217)Связь-(10668)Сельское хозяйство-(299)Социология-(6455)Спорт-(42831)Строительство-(4793)Торговля-(5050)Транспорт-(2929)Туризм-(1568)Физика-(3942)Философия-(17015)Финансы-(26596)Химия-(22929)Экология-(12095)Экономика-(9961)Электроника-(8441)Электротехника-(4623)Энергетика-(12629)Юриспруденция-(1492)Ядерная техника-(1748)

Производная сложной функции. Теорема 20.1.Пусть 1) функция возрастает(или убывает) и непрерывна на некотором промежутке 2) в точке этого промежутка имеет конечную и отличную от нуля




Теорема 20.1.Пусть 1) функция возрастает(или убывает) и непрерывна на некотором промежутке 2) в точке этого промежутка имеет конечную и отличную от нуля производную. Тогда для обратной функции в соответствующей точке также существует производная, равная.

Производная обратной функции

Прежде чем заняться вычислением производных от обратных тригонометрических функций, докажем следующую общую теорему.

◄Придадим значению произвольное приращение , тогда соответственное приращение получит и функция . Заметим, что при , ввиду однозначности самой функции , и . Имеем

.

Если теперь по любому закону, то − в силу непрерывности функции − и приращение . Но тогда знаменатель правой части написанного равенства стремится к пределу , следовательно, существует предел для левой части, равный обратной величине ; он и представляет собой производную .►

Итак, имеем простую формулу:

.

Легко выяснить её геометрический смысл. Мы знаем, что производная есть тангенс угла , образованный касательной к графику функции с осью . Но обратная функция имеет, лишь независимая переменная для неё откладывается по оси . Поэтому производная равна тангенсу угла β, составленного той же касательной с осью (см. рис.) Таким образом, выведенная формула сводится к известному соотношению

 

,

связывающему тангенсы двух углов α и β, сумма которых равна .

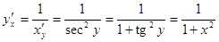
Положим для примера . Обратной для неё функцией будет . Так как , то по нашей формуле,

,

в согласии с 3.

Переходя теперь к вычислению производных от обратных тригонометрических функций, мы для удобства обменяем ролями переменные x и y, переписав доказанную формулу в виде

.

5.Обратные тригонометрические функции. Рассмотрим функцию (), причем . Она является обратной для функции , имеющей для указанных значений положительную производную . В таком случае существует также производная и равна, по нашей формуле,

;

корень мы берем со знаком плюс, так как .

Мы исключили значения , ибо для соответствующих значений производная .

Функция () служит обратной для функций . По нашей формуле

.

Аналогично можно получить:

для ()

для ().

Теорема. (Теорема о производной сложной функции). Пусть функция определена в окрестности точки и имеет в этой точке производную . Пусть функция определена в окрестности и имеет в точке производную




Поделиться с друзьями:


Дата добавления: 2015-04-24; Просмотров: 660; Нарушение авторских прав?; Мы поможем в написании вашей работы!


Нам важно ваше мнение! Был ли полезен опубликованный материал? Да | Нет



studopedia.su - Студопедия (2013 - 2025) год. Все материалы представленные на сайте исключительно с целью ознакомления читателями и не преследуют коммерческих целей или нарушение авторских прав! Последнее добавление




Генерация страницы за: 0.062 сек.