Студопедия

КАТЕГОРИИ:


Архитектура-(3434)Астрономия-(809)Биология-(7483)Биотехнологии-(1457)Военное дело-(14632)Высокие технологии-(1363)География-(913)Геология-(1438)Государство-(451)Демография-(1065)Дом-(47672)Журналистика и СМИ-(912)Изобретательство-(14524)Иностранные языки-(4268)Информатика-(17799)Искусство-(1338)История-(13644)Компьютеры-(11121)Косметика-(55)Кулинария-(373)Культура-(8427)Лингвистика-(374)Литература-(1642)Маркетинг-(23702)Математика-(16968)Машиностроение-(1700)Медицина-(12668)Менеджмент-(24684)Механика-(15423)Науковедение-(506)Образование-(11852)Охрана труда-(3308)Педагогика-(5571)Полиграфия-(1312)Политика-(7869)Право-(5454)Приборостроение-(1369)Программирование-(2801)Производство-(97182)Промышленность-(8706)Психология-(18388)Религия-(3217)Связь-(10668)Сельское хозяйство-(299)Социология-(6455)Спорт-(42831)Строительство-(4793)Торговля-(5050)Транспорт-(2929)Туризм-(1568)Физика-(3942)Философия-(17015)Финансы-(26596)Химия-(22929)Экология-(12095)Экономика-(9961)Электроника-(8441)Электротехника-(4623)Энергетика-(12629)Юриспруденция-(1492)Ядерная техника-(1748)

Вопрос 1. Выражение смешанного произведения через координаты




Выражение смешанного произведения через координаты

Пусть заданы векторы a =ахi +ayj +azk, b =bxi +byj +bzk, с=cxi +cyj +czk. Найдем их смешанное произведение, используя выражения в координатах для векторного и скалярного произведений:

Полученную формулу можно записать короче:

так как правая часть равенства (8.1) представляет собой разложение определителя третьего порядка по элементам третьей строки.

Итак, смешанное произведение векторов равно определителю третьего порядка, составленному из координат перемножаемых векторов.

 

 

Аналитическая геометрия.

Прямая на плоскости.Нормальное уравнение прямой.Нормальный вектор прямой.Прямая и уравнение первой степени. Примеры.

Пряма́я — одно из основных понятий геометрии.

При систематическом изложении геометрии прямая линия обычно принимается за одно из исходных понятий, которое лишь косвенным образом определяется аксиомами геометрии.

Если основой построения геометрии служит понятие расстояния между двумя точками пространства, то прямую линию можно определить как линию, путь вдоль которой равен расстоянию между двумя точками.

Аналитически прямая задаётся уравнением (в трёхмерном пространстве — системой уравнений) первой степени.

Общее уравнение прямой

Общее уравнение прямой линии на плоскости в декартовых координатах:

где А,В и С — произвольные постоянные, причем постоянные А и В не равны нулю одновременно. Вектор с координатами называется нормальным вектором, он перпендикулярен прямой. Вектор с координатами (−B, A) или (B, −A) называется направляющим вектором.

При С=0 прямая проходит через начало координат. Также уравнение можно переписать в виде

Уравнение прямой с угловым коэффициентом

Уравнение прямой линии, пересекающей ось Оу в точке (0,b) и образующей угол с положительным направлением оси :

Коэффициент называется угловым коэффициентом прямой. В этом виде невозможно представить прямую, параллельную оси

Нормальное уравнение прямой

 

где — длина перпендикуляра, опущенного на прямую из начала координат, а — угол (измеренный в положительном направлении) между положительным направлением оси и направлением этого перпендикуляра. Если , то прямая проходит через начало координат, а угол задаёт угол наклона прямой.

 

Вектор, перпендикулярный прямой, называется нормальным вектором этой прямой.

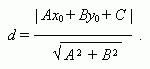
Расстояние от точки (х0, у 0 ) до прямой Ах+ Ву+ С = 0 определяется

 

 

Уравнение любой прямой можно записать в виде

В обоих случаях мы получаем уравнение первой степени. Кроме того, каждое уравнение первой степени по x и y можно привести к виду (2) либо (3).

Рассмотрим произвольное уравнение первой степени

Если B № 0, мы можем записать уравнение (4) в виде

т.е. в виде (2). При B = 0 уравнение (4) сводится к уравнению

Ax = C, или

т.е. к уравнению вида (3).

Таким образом, любая прямая описывается уравнением первой степени по x и y, и обратно, каждое уравнение первой степени по x и y соответствует некоторой прямой.




Поделиться с друзьями:


Дата добавления: 2015-04-24; Просмотров: 429; Нарушение авторских прав?; Мы поможем в написании вашей работы!


Нам важно ваше мнение! Был ли полезен опубликованный материал? Да | Нет



studopedia.su - Студопедия (2013 - 2026) год. Все материалы представленные на сайте исключительно с целью ознакомления читателями и не преследуют коммерческих целей или нарушение авторских прав! Последнее добавление




Генерация страницы за: 0.008 сек.