Студопедия

КАТЕГОРИИ:


Архитектура-(3434)Астрономия-(809)Биология-(7483)Биотехнологии-(1457)Военное дело-(14632)Высокие технологии-(1363)География-(913)Геология-(1438)Государство-(451)Демография-(1065)Дом-(47672)Журналистика и СМИ-(912)Изобретательство-(14524)Иностранные языки-(4268)Информатика-(17799)Искусство-(1338)История-(13644)Компьютеры-(11121)Косметика-(55)Кулинария-(373)Культура-(8427)Лингвистика-(374)Литература-(1642)Маркетинг-(23702)Математика-(16968)Машиностроение-(1700)Медицина-(12668)Менеджмент-(24684)Механика-(15423)Науковедение-(506)Образование-(11852)Охрана труда-(3308)Педагогика-(5571)Полиграфия-(1312)Политика-(7869)Право-(5454)Приборостроение-(1369)Программирование-(2801)Производство-(97182)Промышленность-(8706)Психология-(18388)Религия-(3217)Связь-(10668)Сельское хозяйство-(299)Социология-(6455)Спорт-(42831)Строительство-(4793)Торговля-(5050)Транспорт-(2929)Туризм-(1568)Физика-(3942)Философия-(17015)Финансы-(26596)Химия-(22929)Экология-(12095)Экономика-(9961)Электроника-(8441)Электротехника-(4623)Энергетика-(12629)Юриспруденция-(1492)Ядерная техника-(1748)

Определение зависимости крыла




Изменение коэффициента вредного сопротивления ЛА по углу атаки

-10 -9 -8 -7 -6 -5 -4 -3 -2
Схвр0 0.5429
∆Схα   -0.005 -0.007 -0.01 -0.01 -0.01 -0.0075 -0.005 -0.0025
Cxвр 0.5429 0.5379 0.5359 0.5329 0.5329 0.5329 0.5354 0.5379 0.5404
-1                
Схвр0 0.5429
∆Схα   0.0025 0.01 0.015 0.02 0.025 0.03 0.04 0.05
Cxвр 0.5429 0.5454 0.5529 0.5579 0.5629 0.5679 0.5729 0.5829 0.5929
               
Схвр0 0.5429
∆Схα 0.065 0.07 0.085 0.1 0.12 0.13 0.155 0.17
Cxвр 0.6079 0.6129 0.6279 0.6429 0.6629 0.6729 0.6979 0.7129

 

 


 

Рис. 1

 

 


 

Исходными данными для построения зависимости крыла конечного удлинения являются заданные значения для крыла.

Построение выполняется в следующем порядке:

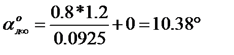
1. Строится прямолинейный участок кривой для , для этого вычисляется угол атаки окончания линейного участка зависимости

Проводится прямая линия через точку с координатами и точку с координатами до пересечения с абсциссой .

Точка соответствует началу нелинейного участка зависимости

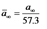
2. Вычисляется критический угол атаки крыла бесконечного удлинения

3. Нелинейный участок характеристики достраивается с помощью полинома

Параметры полинома вычисляются из условия прохождения зависимости через точки

, , и

; ; .

 

 

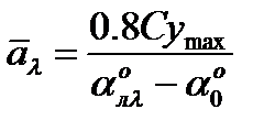
4. Для построения зависимости крыла конечного удлинения определяется угол скоса потока от индуктивной скорости, создаваемой

крылом при в точке начала нелинейного участка зависимости

5. Определяем угол атаки крыла конечного удлинения необходимый для получения .

6. Вычисляем производную коэффициента подъёмной силы крыла конечного

удлинения по углу атаки

и критический угол атаки

7. Для построения нелинейного участка зависимости необходимо проделать те же операции, что и для только в выражениях будут фигурировать и .Соответствующие формулы будут иметь вид:

; ; .

 

 


 

Рис. 2

 


 




Поделиться с друзьями:


Дата добавления: 2015-05-08; Просмотров: 540; Нарушение авторских прав?; Мы поможем в написании вашей работы!


Нам важно ваше мнение! Был ли полезен опубликованный материал? Да | Нет



studopedia.su - Студопедия (2013 - 2025) год. Все материалы представленные на сайте исключительно с целью ознакомления читателями и не преследуют коммерческих целей или нарушение авторских прав! Последнее добавление




Генерация страницы за: 0.007 сек.