Студопедия

КАТЕГОРИИ:


Архитектура-(3434)Астрономия-(809)Биология-(7483)Биотехнологии-(1457)Военное дело-(14632)Высокие технологии-(1363)География-(913)Геология-(1438)Государство-(451)Демография-(1065)Дом-(47672)Журналистика и СМИ-(912)Изобретательство-(14524)Иностранные языки-(4268)Информатика-(17799)Искусство-(1338)История-(13644)Компьютеры-(11121)Косметика-(55)Кулинария-(373)Культура-(8427)Лингвистика-(374)Литература-(1642)Маркетинг-(23702)Математика-(16968)Машиностроение-(1700)Медицина-(12668)Менеджмент-(24684)Механика-(15423)Науковедение-(506)Образование-(11852)Охрана труда-(3308)Педагогика-(5571)Полиграфия-(1312)Политика-(7869)Право-(5454)Приборостроение-(1369)Программирование-(2801)Производство-(97182)Промышленность-(8706)Психология-(18388)Религия-(3217)Связь-(10668)Сельское хозяйство-(299)Социология-(6455)Спорт-(42831)Строительство-(4793)Торговля-(5050)Транспорт-(2929)Туризм-(1568)Физика-(3942)Философия-(17015)Финансы-(26596)Химия-(22929)Экология-(12095)Экономика-(9961)Электроника-(8441)Электротехника-(4623)Энергетика-(12629)Юриспруденция-(1492)Ядерная техника-(1748)

Расчёт поляры крыла




Коэффициент сопротивления крыла определяется как сумма

где: - приращение коэффициента профильного сопротивления,

вызываемое изменением

- коэффициент индуктивного сопротивления, возникающего из-за скоса потока создаваемого самим крылом,

- минимальный коэффициент лобового сопротивления, в первом

приближении вычисляется по формуле:

где: – минимальное значение коэффициента сопротивления по поляре профиля.

Для современных профилей можно принять ;

- сумма коэффициентов дополнительных сопротивлений реального крыла

- площадь крыла, занятая фюзеляжем.

Коэффициент , учитывающий интерференцию между крылом и фюзеляжем,

принимается равным:

при схеме низкоплан для фюзеляжа круглого сечения – 0.25,

для фюзеляжа вального сечения – 0.50, для фюзеляжа с прямыми стенками – 0.60,

при схеме среднеплан и высокоплан - 0.85.

Для учета интерференции моторных гондол и крыла участки крыла, занятые гондолами, из площади крыла не вычитаются.

Коэффициенты дополнительных сопротивлений определяются по приведенным ниже формулам:

1. При потайной клепке, слабо выраженной волнистости и соединении листов встык величина .

 

5. Увеличение , вызванное смещением к передней кромке крыла точки перехода пограничного слоя от ламинарного к турбулентному вследствие обдувки части поверхности крыла винтами(как для одномоторного, так и для многомоторного самолета), принимается равным .

 

Примечание 1. В приведенных значениях не учтено увеличение сопротивления возникающего из-за повышенной скорости потока в струе винта. Это влияние обычно учитывается соответствующим снижением КПД винта при расчете располагаемой мощности.

Приращение коэффициента профильного сопротивления является функцией отношения

где: - оптимальный коэффициент подъёмной силы при , что соответствует безударному обтеканию передней кромки несимметричного профиля крыла.

- максимальный коэффициент подъёмной силы.

Зависимость в виде некоторой средней кривой для наиболее употребительных профилей

NACA-230, NACA-44, Clark –YH, RAP-34 представлена на рис. 9.

Для профилей, существенно отличающихся от перечисленных выше своей геометрией, возможны некоторые отклонения от этой средней кривой, однако этими обстоятельствами в данном расчёте можно пренебречь.

Если коэффициент профиля неизвестен, то приближенно его можно принять равным 0.25 для несимметричного профиля и равным 0 для симметричного профиля.

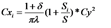
Коэффициент индуктивного сопротивления крыла заданной формы в плане с учетом влияния фюзеляжа и моторных гондол можно определить по формуле

где: - сумма площадей подфюзеляжной части крыла и частей крыла занятых гондолами. Коэффициент определяется по графикам на рис. 10 (.

Су=0

 

Су=0.1

Су=0.2

Су=0.3

Су=0.4

 

 

Су=0.5

Су=0.6

Су=0.7

Су=0.8

 

 

Су=0.9

Су=1

Су=1.1

Су=1.2


Таблица 3. Расчет поляры крыла конечного удлинения

 

Су   0,1 0,2 0,3 0,4 0,5 0,6 0,7 0,8 0,9 1,0 1,1 1,2
Су-Суopt   0,1 0,2 0,3 0,4 0,5 0,6 0,7 0,8 0,9 1,0 1,1 1,2
  0.0833333 0.166667 0.25 0.33333 0.41667 0.5 0.58333 0.666667 0.75 0.833333 0.916667  
Cxp   0.0000039 0.000052 0.00023 0.00068 0.00155 0.00305 0.0054 0.00887 0.01374 0.02032 0.02895 0.04
2   0.01 0.04 0.09 0.16 0.25 0.36 0.49 0.64 0.81   1.21 1.44
Схi   0.001 0.004 0.009 0.016 0.025 0.036 0.049 0.064 0.081 0.1 0.121 0.144
Схк 0.0078 0.0088039 0.011852 0.01703 0.02448 0.03435 0.04685 0.0622 0.08067 0.10254 0.12812 0.15775 0.1918

По данным расчёта строится поляра крыла с разметкой углов атаки и определяется максимальное качество крыла

 

Рис. 3





Поделиться с друзьями:


Дата добавления: 2015-05-08; Просмотров: 1531; Нарушение авторских прав?; Мы поможем в написании вашей работы!


Нам важно ваше мнение! Был ли полезен опубликованный материал? Да | Нет



studopedia.su - Студопедия (2013 - 2025) год. Все материалы представленные на сайте исключительно с целью ознакомления читателями и не преследуют коммерческих целей или нарушение авторских прав! Последнее добавление




Генерация страницы за: 0.007 сек.