Студопедия

КАТЕГОРИИ:


Архитектура-(3434)Астрономия-(809)Биология-(7483)Биотехнологии-(1457)Военное дело-(14632)Высокие технологии-(1363)География-(913)Геология-(1438)Государство-(451)Демография-(1065)Дом-(47672)Журналистика и СМИ-(912)Изобретательство-(14524)Иностранные языки-(4268)Информатика-(17799)Искусство-(1338)История-(13644)Компьютеры-(11121)Косметика-(55)Кулинария-(373)Культура-(8427)Лингвистика-(374)Литература-(1642)Маркетинг-(23702)Математика-(16968)Машиностроение-(1700)Медицина-(12668)Менеджмент-(24684)Механика-(15423)Науковедение-(506)Образование-(11852)Охрана труда-(3308)Педагогика-(5571)Полиграфия-(1312)Политика-(7869)Право-(5454)Приборостроение-(1369)Программирование-(2801)Производство-(97182)Промышленность-(8706)Психология-(18388)Религия-(3217)Связь-(10668)Сельское хозяйство-(299)Социология-(6455)Спорт-(42831)Строительство-(4793)Торговля-(5050)Транспорт-(2929)Туризм-(1568)Физика-(3942)Философия-(17015)Финансы-(26596)Химия-(22929)Экология-(12095)Экономика-(9961)Электроника-(8441)Электротехника-(4623)Энергетика-(12629)Юриспруденция-(1492)Ядерная техника-(1748)

Отримання. Промислові методи отримання бутадієну-1,3




Отримання

Промислові методи отримання бутадієну-1,3

1. отримання за Лебедєвим

2. дегідрування бутану

 

Хімічні властивості

1. реакції приєднання

2. реакції гідрогенізації

3. вулканізація каучуків

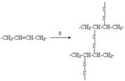
Природний каучук - полімер ненасиченого вуглеводню ізопрену C5H8. Його добувають з молочного соку деяких рослин, зокрема з гевеї, що росте в тропічних країнах. Полімеризацію ізопрену можна схематичнозобразити таким рівнянням:

66.власт-ті і методи одер. Ацетиленових вуглеводнів.
АЦЕТИЛЕНОВІ ВУГЛЕВОДНІ (алкіни) — вуглеводні аліфатичного ряду, які містять один потрійний зв’язок –С≡С–. Загальна формула алкінів СnH2n-2. Найпростішим представником ряду є ацетилен (етин) С2Н2.

Промислові методи отримання ацетилену

1. гідроліз ацетилениду (карбіду) кальцію

2. піроліз метану

Лабораторні методи

1. отримання через галогенпохідні

2. отримання через галогенпохідні і ацетиленид натрію

R-Cl + NaCºCH ® R-CºCH + NaCl

Хімічні властивості

1. приєднання галогенів (Cl2, Br2)

HCºCH + Cl2 → ClCH=CHCl;

ClCH=CHCl + Cl2 → Cl2CH-CHCl2

2. приєднання галогеноводнів (HCl, HBr) за правилом Марковникова

3. гідрогенізація

4. реакція Кучерова (реакція приєднання води)

5. реакція Реппе (тримеризація ацетилену)

6. реакції утворення ацетиленідів

7. димеризація ацетилену з утворенням вінілацетилену

2

69. хім.. вла-ті і методи одержання алканів

Алкани, насичені вуглеводні— насичені ациклічні вуглеводні, що мають загальну формулу CnH2n+2, їх також називають парафінами.

Отримання Промислові методи

1. У промислових умовах насичені вуглеводні з довжиною ланцюга до одинадцяти атомів Карбону отримують звичайно наступними методами: фракційна перегонка нафти; переробка природного газу; гідрогенізація вугілля:

2. Синтез Фішера – Тропша

Лабораторні методи

1. Гідроліз карбіду алюмінію

Al4C3 +12H2O ® 4Al(OH)3+3CH4

2. Декарбоксилювання

Синтез Вюрца

2СН3Сl+2Na → C2H6+2NaCl;

2R-Br+2Na → R-R+2NaBr

3. Гідрування (гідрогенізація) алкенів

Хімічні властивості

1. Реакції окиснення:

горінняCnH2n+2 + (3n+1)/2O2 = nCO2 + (n+1)H2O

отримання синтез-газу (промисловий метод)


отримання формальдегіду

2. Піроліз метану

промисловий метод отримання сажі і водню

промисловий метод отримання ацетилену

3. Крекінг алканів

4. Дегідрогенізація (дегідрування) алканів

5. Галогенування (Cl2, Br2)

 

 

72. Хім вла-ті та методи одерж.
Ненасиченим вуглеводням протиставляються алкани — насичені вуглеводні. Ненасиченими називаються вуглеводні, що мають хоча б один подвійний або потрійний (кратний) карбон-карбонний зв’язок.




Поделиться с друзьями:


Дата добавления: 2015-05-24; Просмотров: 671; Нарушение авторских прав?; Мы поможем в написании вашей работы!


Нам важно ваше мнение! Был ли полезен опубликованный материал? Да | Нет



studopedia.su - Студопедия (2013 - 2026) год. Все материалы представленные на сайте исключительно с целью ознакомления читателями и не преследуют коммерческих целей или нарушение авторских прав! Последнее добавление




Генерация страницы за: 0.009 сек.