Студопедия

КАТЕГОРИИ:


Архитектура-(3434)Астрономия-(809)Биология-(7483)Биотехнологии-(1457)Военное дело-(14632)Высокие технологии-(1363)География-(913)Геология-(1438)Государство-(451)Демография-(1065)Дом-(47672)Журналистика и СМИ-(912)Изобретательство-(14524)Иностранные языки-(4268)Информатика-(17799)Искусство-(1338)История-(13644)Компьютеры-(11121)Косметика-(55)Кулинария-(373)Культура-(8427)Лингвистика-(374)Литература-(1642)Маркетинг-(23702)Математика-(16968)Машиностроение-(1700)Медицина-(12668)Менеджмент-(24684)Механика-(15423)Науковедение-(506)Образование-(11852)Охрана труда-(3308)Педагогика-(5571)Полиграфия-(1312)Политика-(7869)Право-(5454)Приборостроение-(1369)Программирование-(2801)Производство-(97182)Промышленность-(8706)Психология-(18388)Религия-(3217)Связь-(10668)Сельское хозяйство-(299)Социология-(6455)Спорт-(42831)Строительство-(4793)Торговля-(5050)Транспорт-(2929)Туризм-(1568)Физика-(3942)Философия-(17015)Финансы-(26596)Химия-(22929)Экология-(12095)Экономика-(9961)Электроника-(8441)Электротехника-(4623)Энергетика-(12629)Юриспруденция-(1492)Ядерная техника-(1748)

Задачі для самостійного вирішення. Задача 6. Однорідний стрижень завдовжки L = 1 м і масою m = 0,5 кг обертається у вертикальній площині навкруги горизонтальної осі




Задача 6. Однорідний стрижень завдовжки L = 1 м і масою m = 0,5 кг обертається у вертикальній площині навкруги горизонтальної осі, що проходить через середину стрижня. З яким кутовим прискоренням e обертається стрижень, якщо на нього діє момент сил M = 0,098 Н×м?

(Відповідь: e = 2.35 рад/с2.)

Задача 7. Колесо, момент інерції якого J = 245 кг×м2, обертається з частотою n =20 об/с. Через час t = 1 хв. після того, як на колесо перестав діяти момент сил M, воно зупинилося. Знайти момент сил тертя M 1 і число оборотів N, яке зробило колесо до повної зупинки після припинення дії сил. Колесо вважати однорідним диском. (Відповідь: M 1 = 513 Н×м, N =600об.)

Задача 8. Дві гирі з масами m 1 = 2 кг і m 2 = 1 кг сполучено ниткою, перекинутою через блок масою m = 1кг. Знайти прискорення, з яким рухаються гирі, і сили натягнення T 1 і T 2 ниток, до яких підвішені гирі. Блок вважати однорідним диском. Тертям нехтувати. (Відповідь: a = 2,8 м/с2, T 1 = 14 Н, T 2 = 12,6 Н.)

Задача 9. На барабан радіусом R = 20 см, момент інерції якого J = 0,1 кг×м 2, намотаний шнур, до кінця якого прив'язаний вантаж масою m = 0,5кг. До початку обертання барабана висота вантажу над підлогою була рівна h = 1 м. Через який час t вантаж опуститься до підлоги? Знайти кінетичну енергію Еk вантажу у момент удару об підлогу і силу натягнення нитки T. Тертям нехтувати. (Відповідь: t = 1,1 с, Еk = 0,81 Дж, T = 4,1 Н.)

Задача 10. Однорідний диск радіусом R = 0,2 м і масою m = 5 кг обертається навкруги осі, що проходить через його центр перпендикулярно до площини диска. Залежність кутової швидкості w обертання диска від часу t дається рівнянням w = A + Bt, де B = 8 рад/с2. Знайти дотичну силу F, прикладену до обода диска. Тертям нехтувати. (Відповідь: F = 4 Н.)

Задача 11. Дві маленькі кульки масою m = 10 г кожна скріпляють тонким невагомим стрижнем завдовжки L = 20 см. Визначити момент інерції J системи відносно осі, що перпендикулярна до стрижня і проходе через центр мас системи.

(Відповідь: J = 0,0002 кг×м2.)

Задача 12. Визначити момент інерції J тонкого однорідного стрижня завдовжки L = 30 см і масою m = 100 г відносно осі, що перпендикулярна до стрижня і проходе через: 1) його кінець; 2) його середину; 3) точку, віддалену від кінця стрижня на 1/3 його довжини.

(Відповідь: J 1=0,003 кг×м 2, J 2= 0,00075 кг×м2, J 3 = 0,001 кг×м 2.)

Задача 13. Знайти момент інерції J плоскої однорідної прямокутної пластини масою m =800 г відносно осі, співпадаючої з однією з її сторін, якщо довжина іншої сторони дорівнює L = 40 см. (Відповідь: J = 0,0427 кг×м2).

Задача 14. Визначити момент інерції J тонкого однорідного диска масою m = 100 г і радіусом R = 30 см відносно осі, що перпендикулярна до диска і проходе через середину його радіусу. (Відповідь: J = 0,00675кг×м2).

Задача 15. Визначити момент інерції J кільця масою m = 50 г і радіусом R = 10 см відносно осі, що лежить в площині кільця і дотичній до нього. (Відповідь: J = 0,00075кг×м2).

 

Тема 5. Закон збереження моменту імпульсу. Енергія обертального руху.

Приклади рішення задач.

Задача 1. Платформа у вигляді диска радіусом R = 1,5 м і масою M = 180 кг обертається за інерцією біля вертикальної осі з частотою n = 10 об/хв. В центрі платформи стоїть людина масою m = 60 кг. Яку лінійну швидкість відносно підлоги приміщення буде мати людина, якщо він відійде від центру платформи на відстань, рівну половині радіусу платформи?

Рішення

Використовуючи закон збереження моменту імпульсу, можна записати:

(J 1+ J 21 = (J 1+ J2 , (1)

де J 1 - момент інерції платформи; J 2 - момент інерції людини, що стоїть в центрі платформи; w1 - кутова швидкість платформи з людиною, що стоїть в центрі; J - момент інерції людини, що знаходиться від краю платформи на відстані R /2; w2 - кутова швидкість платформи з людиною, що знаходиться від краю платформи на відстані R /2. Лінійна швидкість людини, віддаленої від краю платформи на R /2, пов'язана з кутовою швидкістю співвідношенням:

v = ω2 R /2. (2)

Визначивши ω2 з рівняння (1) і підставивши отриманий вираз у формулу (2), будемо мати:

v = [(J 1+ J 21 R ]/(J 1+ J). (3)

Момент інерції платформи розраховуємо як для диска. Отже, J 1= МR 2/2. Момент інерції людини розраховуємо як для матеріальної точки. Тому: J 2= 0, J = mR 2/4. Кутова швидкість платформи до переходу людини рівна w1 =2π n. Підставивши J 1, J 2, J і w1 в співвідношення (3), отримаємо:

v = 2π nMR /(2M+m) = 0,67 м/с.

Відповідь; v = 0,67 м/с.

Задача 2. Стрижень завдовжки L = 1,5 м і масою M = 10 кг може обертатися навкруги нерухомої осі, що проходить через верхній кінець стрижня. В нижній край стрижня ударяє куля масою m = 10 г, що летить в горизонтальному напрямі із швидкістю v = 500 м/с, і застряє в стрижні. На який кут a відхилиться стрижень після удару?

Рішення

Удар кулі слід розглядати як непружний: після удару куля і відповідна точка стрижня будуть рухатися з однаковими швидкостями. Спочатку куля, ударившись об стрижень, за нікчемо малий проміжок часу приводить його в рух з кутовою швидкістю w і вітдає йому кінетичну енергію:

T = J ω2/2, (1)

де J - момент інерції стрижня щодо осі обертання. Потім стрижень повертається на шуканий кут?, причому центр мас стрижня підіймається на висоту h = (L /2)(1-cosϕ). У відхиленому положенні стрижень буде володіти потенційною енергією:

П = Mg (L /2)(1 - cosϕ). (2)

Потенційна енергія отримана за рахунок кінетичної енергії і рівна їй за законом збереження енергії. Прирівнявши праві частини рівності (1) і (2), і підставивши вираз для моменту інерції стрижня щодо осі, що проходить через край стрижня і перпендикулярній йому (J = ML 2/3), отримаємо:

cosϕ = 1 - L ω2/(3 g), (3)

Застосувавши закон збереження моменту імпульсу, можемо написати:

mvL = (J + mL 2)ω. (4)

Підставивши щ з (4) в (3), отримаємо:

Підставляючи числові значення, знаходимо cosa = 0,95, звідки a» 18°.

(Відповідь: a» 18°.)

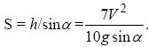
Задача 3. Дві кулі різного діаметра починають котитися з однаковою швидкістю v = 100 см/с вгору по похилій площині під кутом a = 300 до горизонту. Менша куля зроблена з алюмінію, інший із сталі. Який шлях пройде кожну з куль до зупинки?

Рішення

Хай маса одного з куль рівна m, а радіус його R. Енергія кулі, що рухається, рівна W = mv 2/2+ J ω2/2, де J = 2/5 mR 2-момент інерції кулі, w - кутова швидкість обертання. Оскільки куля рухається без прослизання, то w = v / R. Висоту підйому кулі по похилій площині h знаходимо із закону збереження енергії:

mv 2/2 + J ω2/2 = mgh.

Підставляючи в цей вираз значення моменту інерції кулі і кутової швидкості, одержуємо mv 2/2 + mv 2/5 = mgh, звідки слідує h = 7v2/(10 g). Шлях, пройдений кулею уздовж похилої площини до зупинки, зв'язаний у висотою підйому співвідношенням:

З отриманого виразу видно, що висота підйому і, відповідно, шлях, пройдений кулею до зупинки, не залежить від маси і діаметра кулі, а визначається лише значенням його швидкості. Таким чином, для куль, виготовлених з різних матеріалів, пройдений шлях буде однаковий. Підставляючи чисельні значення, отримаємо S = 14 см.

Відповідь: S = 14 см.

Задача 4. Свинцевий диск, що обертається з частотою n = 100 об/с, радіусом R = 10 см і завтовшки h =1 см опустили в судину з водою об'ємом V = 10 літрів. Знайти зміну температури води D T в судині унаслідок гальмування диска. Початкові значення температури диска і води однакові, густина свинцю rс = 11300 кг/м3, густина води rв = 1000 кг/м3, питомі теплоємності свинцю і води рівні С с =130 Дж/(кг×К), С в = 4,2 кДж/(кг×K).

Рішення

Зміну температури води в судині знайдемо виходячи з рівняння теплового балансу:

W = m с C с Δ T + m в С в Δ T

де W - енергія диска, що обертається, m с і m в - маси свинцю і води.

З цього рівняння одержуємо:

D T = W /(m с С с + m в С в).

Енергію W знаходимо із співвідношення W = J ω2/2, де J - момент інерції диска, w - його кутова швидкість. Для диска J = m с R 2/2. Кутова швидкість пов'язана з кількістю оборотів в одиницю часу як w =2p n. Маса тіла рівна добутку його густини на об'єм:

m с = ρсπ R 2 h, m вв V.

Підставляючи знайдені значення, одержуємо розрахункову формулу:

Підставляючи сюди чисельні значення параметрів, знайдемо D T = 0,08 К.

Відповідь: D T = 0,08 К.

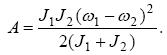
Задача 5. Два горизонтальні диски вільно обертаються навкруги вертикальної осі, що проходить через їх центри. Моменти інерції дисків щодо цієї осі рівні J 1= 0,25 кг⋅м2 і J 2=0,40кг⋅м2, а кутові швидкості w1 = 6 рад/с і w2 = 3 рад/с. Після падіння верхнього диска на нижній, обидва диски, завдяки тертю між ними, почали через деякий час обертатися з однаковою кутовою швидкістю. Знайти роботу сили тертя.

Рішення

Робота сил тертя буде рівна різниці кінетичної енергії двох дисків, що обертаються, до їх зіткнення і кінетичної енергії системи, що утворилася, після того, як обидва диски почали обертатися разом. Знайдемо енергію першого W 1 і другого W 2 дисків: W 1 = J 1ω12/2, W = J 2ω22/2. Момент інерції системи, що утворилася, рівний J = J 1 + J 2, а кутова швидкість обертання рівна w. Тоді енергія системи буде рівна W = J w2/2. Робота сил тертя знаходиться із співвідношення:

A = W 1 + W 2W (1)

Для знаходження кутової швидкості обертання системи дисків скористаємося законом збереження моменту імпульсу (з умови задачі витікає, що система є замкнутою, і, отже, момент імпульсу не змінюється). Маємо: J 1w1+ J 2w2 = (J 1 + J 2)w, звідки слід:

Підставляючи знайдені значення W, W 1, W 2 і щ в рівняння (1), отримаємо:

Підставивши сюди чисельні значення, знайдемо роботу A = 0,69 Дж.

Відповідь: A = 0,69 Дж.




Поделиться с друзьями:


Дата добавления: 2015-05-26; Просмотров: 2255; Нарушение авторских прав?; Мы поможем в написании вашей работы!


Нам важно ваше мнение! Был ли полезен опубликованный материал? Да | Нет



studopedia.su - Студопедия (2013 - 2026) год. Все материалы представленные на сайте исключительно с целью ознакомления читателями и не преследуют коммерческих целей или нарушение авторских прав! Последнее добавление




Генерация страницы за: 0.008 сек.