Студопедия

КАТЕГОРИИ:


Архитектура-(3434)Астрономия-(809)Биология-(7483)Биотехнологии-(1457)Военное дело-(14632)Высокие технологии-(1363)География-(913)Геология-(1438)Государство-(451)Демография-(1065)Дом-(47672)Журналистика и СМИ-(912)Изобретательство-(14524)Иностранные языки-(4268)Информатика-(17799)Искусство-(1338)История-(13644)Компьютеры-(11121)Косметика-(55)Кулинария-(373)Культура-(8427)Лингвистика-(374)Литература-(1642)Маркетинг-(23702)Математика-(16968)Машиностроение-(1700)Медицина-(12668)Менеджмент-(24684)Механика-(15423)Науковедение-(506)Образование-(11852)Охрана труда-(3308)Педагогика-(5571)Полиграфия-(1312)Политика-(7869)Право-(5454)Приборостроение-(1369)Программирование-(2801)Производство-(97182)Промышленность-(8706)Психология-(18388)Религия-(3217)Связь-(10668)Сельское хозяйство-(299)Социология-(6455)Спорт-(42831)Строительство-(4793)Торговля-(5050)Транспорт-(2929)Туризм-(1568)Физика-(3942)Философия-(17015)Финансы-(26596)Химия-(22929)Экология-(12095)Экономика-(9961)Электроника-(8441)Электротехника-(4623)Энергетика-(12629)Юриспруденция-(1492)Ядерная техника-(1748)

Задачі для самостійного вирішення. Задача 6. Точка здійснює гармонійні коливання




Задача 6. Точка здійснює гармонійні коливання. Найбільший зсув точки рівний 10 см, найбільша швидкість дорівнює 20 см/с. Знайти кутову частоту w коливань і максимальне прискорення amax точки. (Відповідь: w = 2 с-1, amax = 40 см/с2).

Задача 7. Визначити період коливань маятника годинника, що є закріпленим на невагомому стрижні диском радіусу 10 см, що коливається навкруги горизонтальної осі, що проходить через кінець стрижня і перпендикулярної площини диска. Відстань між центром диска і віссю 0,8 м. (Відповідь: T = 1,8 с).

Задача 8. Гиря, підвішена до пружини, коливається по вертикалі з амплітудою А =4см. Визначити повну енергію Е коливань гирі, якщо жорсткість k пружини рівна 1 кН/м (Відповідь: Е =0,8 Дж).

Задача 9. Диск радіусом R = 24 см коливається біля горизонтальної осі, що проходить через середину одного з радіусів перпендикулярно до площини диска. Визначити приведену довжину L і період коливань T такого маятника. (Відповідь: L = 36 см, T = 1,2 с).

Задача 10. Визначити період T затухаючих коливань, якщо період T o власних коливань системи рівний 1с і логарифмічний декремент коливань q = 0,628. (Відповідь: T = 1,005 с).

Задача 11. З яким прискоренням і в якому напрямі повинна рухатися кабіна ліфта, щоб математичний маятник, що знаходиться в ній, період коливань якого в нерухомій системі рівний T = 1 с, за час t = 2 хв. 30 с вчинив N = 100 коливань?

(Відповідь: a = 5,4 м/с2, напрям руху - будь-який).

Задача 12. Однорідний стрижень маси m здійснює малі коливання навкруги горизонтальної осі, що проходить через точку О, як показано на малюнку.

 

Правий кінець стрижня підвішений на невагомій пружині жорсткості k. Знайти період коливань стрижня, якщо в положенні рівноваги він горизонтальний.

(Відповідь: ).

Задача 13. Матеріальна точка бере участь в двох взаємно перпендикулярних коливаннях, описуваних рівняннями х = A cos(w t) і у = B sin(w t), де A =2 м, B =1 м. Знайти траєкторію руху точки. (Відповідь: , ).

Задача 14. Два гармонійних коливання, що направлені вздовж одній прямій і мають однакові амплітуди і періоди, складаються в одне коливання тієї ж амплітуди. Знайти різницю фаз Dj коливань, що складаються. (Відповідь: Dj =2p/3 або Dj =4p/3 рад).

Задача 15. Складаються два гармонійного коливання одного напряму з однаковими періодами T 1 = T 2 = 1,5 с і однаковими амплітудами А 1 = А 2 = 2 см. Початкові фази коливань j1= p/2 і j2= p/3. Визначити амплітуду А і початкову фазу j результуючого коливання. (Відповідь: A = 3,86 см j = 0,417p рад).

 

РОЗДІЛ II. МОЛЕКУЛЯРНА ФІЗИКА І ТЕРМОДИНАМІКА

 

Тема 7. Молекулярна будова речовини. Рівняння стану. Основне рівняння молекулярно-кінетичної теорії

 

Приклади рішення задач

Задача 1. Знайти мольну масу m сірчаної кислоти H2SO4.

Рішення

Мольна маса речовини визначається по формулі m= kM r. Тут позначено k = 10кг/моль, Mr - відносна молекулярна маса речовини, рівна,

де ni - число атомів і -го хімічного елемента, Ari - відносна атомна маса хімічного елемента з таблиці Менделєєва. Для сірчаної кислоти маємо:

Mr = 2 + 32 + 64 = 98.

Остаточно одержуємо m = 98×10-3 кг/моль.

Відповідь: m = 98×10-3 кг/моль.

Задача 2. Визначити кількість речовини n число N молекул азоту масою m = 0,2 кг.

Рішення

Мольна маса азоту m = kMr = k (2 Ar) = 28 10-3 кг/моль. Кількість речовини азоту n= m /m=0,2/(28×10-3)=7,14 моль. В одному молі речовини міститься число молекул, рівне числу Авогадро. Тому, для шуканого числа молекул азоту одержуємо N = n NA = 4,3 1024 молекул.

Відповідь: n = 7,14 моль; N = 4,3 1024 молекул.

Задача 3. В балонах місткістю V 1 = 20 л і V 2 = 44 л міститься газ. Тиск в першому балоні р 1=2,4 МПа, в другому р 2 = 1,6 МПа. Визначити загальний тиск р і парціальні тискі p1

і p2 після з'єднання балонів, якщо температура газу залишилася колишньою.

Рішення

Рівняння стану газів до їх змішування можна записати у вигляді:

Рівняння стану газів після змішування записуються у вигляді:

Помічаючи, що праві частини відповідних рівнянь співпадають, одержуємо для парціальних тисків вирази:

Згідно закону Дальтона, повний тиск рівно сумі парціальних тисків p = p1+ p2 = 1,85 МПа.

Відповідь: p1 = 0,75 МПа, p2 = 1,1 МПа і p = 1,85 МПа.

Задача 4. Визначити кількість речовини n і концентрацію n молекул газу, що міститься в колбі місткістю V = 240 см3 при температурі T = 290 К і тиску р = 50 кПа.

Рішення

Концентрацію n молекул газу можна знайти з рівняння стану записаного у вигляді р = nkT, де k - постійна Больцмана:

.

З рівняння стану Клапейрона-Менделєєва pV = n RT одержуємо для кількості речовини наступний вираз Відповідь: n = 4,98×10-3 моль.

Задача 5. Середня квадратична швидкість молекул деякого газу рівна vкв=450 м/с. Тиск газу рівно р=5 104 Па. Знайти густину газу за цих умов.

Рішення

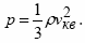
Запишемо основне рівняння молекулярно-кінетичної теорії у вигляді:

де m - маса молекули, v кв - середня квадратична швидкість, n – концентрація молекул. Густина речовини за визначенням є r = nm. Тоді вираз для тиску приймає вигляд

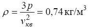
Звідси для густини газу остаточно одержуємо

.

Відповідь: r = 0,74 кг/м3.

 

Задача для самостійного вирішення.

Задача 6. В балоні місткістю V = 3 л знаходиться кисень масою m = 4г. Визначити кількість речовини n і число N молекул газу. (Відповідь: n = 0,125 моль, N =7,52×1022 молекул.)

Задача 7. Кисень за нормальних умов заповнює судину місткістю V = 11,2 л. Визначити кількість речовини газу і його масу. (Відповідь: n = 0,5 моль; m =16 г.)

Задача 8. Газ при температурі Т = 309 К і тиску р = 0.7 МПа має густину r = 12 кг/м3. Визначити відносну молекулярну масу Mr газу. (Відповідь: Mr = 44).

Задача 9. В балоні міститься газ при температурі t 1 = 1000 С. До якої температури t потрібно нагрівати газ, щоб його тиск збільшився в двічі? (Відповідь: t = 4730 С).

Задача 10. В балоні місткістю V = 25 л знаходиться водень при температурі Т = 290 К. Після того, як частину водню витратили, тиск в балоні знизився на D р = 0,4 МПа. Визначити масу m витраченого водню. (Відповідь: m = 8,33 г).

Задача 11. В судині місткістю V = 0,01 м3 міститься суміш газів - азоту масою m 1 = 7 г і водню масою m 2 = 1 г при температурі Т = 280 К. Визначити тиск суміші газів. (Відповідь: р =175 кПа).

Задача 12. В колбі місткістю V = 100 см3 міститься деякий газ при температурі Т =300К. На скільки знизиться тиск р газу в колбі, якщо унаслідок витоку з колби вийде N = 1020 молекул? (Відповідь: D р = 4,14 кПа).

Задача 13. Знайти масу повітря, що заповнює аудиторію заввишки 5 м і площею підлоги 200 м2. Тиск повітря 750 мм рт. ст., температура в приміщення 1700 С. Масу одного киломоля повітря прийняти рівнім 29 кг/кмоль. (Відповідь: m = 1200 кг).

Задача 14. Газ масою 12 г займає об'єм 4×10-3 м3при температурі 700 С. Після нагрівання газу при постійному тиску, його густина стала рівною 6×10-4 г/см3. До якої температури нагрівали газ? (Відповідь: t = 112700 С).

Задача 15. Знайти середню квадратичну швидкість молекул газу, густина якого при тиску 750 мм рт. ст. рівна 8,2×10-5 г/см3. Чому дорівнює маса одного киломоля цього газу, якщо значення густини дано для температури 1700 С? (Відповідь: v кв = 1900м/с, m=2 кг/кмоль.)

 




Поделиться с друзьями:


Дата добавления: 2015-05-26; Просмотров: 1387; Нарушение авторских прав?; Мы поможем в написании вашей работы!


Нам важно ваше мнение! Был ли полезен опубликованный материал? Да | Нет



studopedia.su - Студопедия (2013 - 2026) год. Все материалы представленные на сайте исключительно с целью ознакомления читателями и не преследуют коммерческих целей или нарушение авторских прав! Последнее добавление




Генерация страницы за: 0.011 сек.