Студопедия

КАТЕГОРИИ:


Архитектура-(3434)Астрономия-(809)Биология-(7483)Биотехнологии-(1457)Военное дело-(14632)Высокие технологии-(1363)География-(913)Геология-(1438)Государство-(451)Демография-(1065)Дом-(47672)Журналистика и СМИ-(912)Изобретательство-(14524)Иностранные языки-(4268)Информатика-(17799)Искусство-(1338)История-(13644)Компьютеры-(11121)Косметика-(55)Кулинария-(373)Культура-(8427)Лингвистика-(374)Литература-(1642)Маркетинг-(23702)Математика-(16968)Машиностроение-(1700)Медицина-(12668)Менеджмент-(24684)Механика-(15423)Науковедение-(506)Образование-(11852)Охрана труда-(3308)Педагогика-(5571)Полиграфия-(1312)Политика-(7869)Право-(5454)Приборостроение-(1369)Программирование-(2801)Производство-(97182)Промышленность-(8706)Психология-(18388)Религия-(3217)Связь-(10668)Сельское хозяйство-(299)Социология-(6455)Спорт-(42831)Строительство-(4793)Торговля-(5050)Транспорт-(2929)Туризм-(1568)Физика-(3942)Философия-(17015)Финансы-(26596)Химия-(22929)Экология-(12095)Экономика-(9961)Электроника-(8441)Электротехника-(4623)Энергетика-(12629)Юриспруденция-(1492)Ядерная техника-(1748)

Ковариация и корреляция




Статистический анализ результатов имитации

Как уже отмечалось, в анализе стохастических процессов важное значение имеют статистические взаимосвязи между случайными величинами. В предыдущем примере для установления степени взаимосвязи ключевых и расчетных показателей мы использовали графический анализ. В качестве количественных характеристик подобных взаимосвязей в статистике используют два показателя: ковариацию и корреляцию.

Ковариация выражает степень статистической зависимости между двумя множествами данных и определяется из следующего соотношения:

(3.4)

где:

X, Y - множества значений случайных величин размерности m;

M(X) - математическое ожидание случайной величины Х;

M(Y) - математическое ожидание случайной величины Y.

Как следует из (3.4), положительная ковариация наблюдается в том случае, когда большим значениям случайной величины Х соответствуют большие значения случайной величины Y, т.е. между ними существует тесная прямая взаимосвязь. Соответственно отрицательная ковариация будет иметь место при соответствии малым значениям случайной величины Х больших значений случайной величины Y. При слабо выраженной зависимости значение показателя ковариации близко к 0.

Ковариация зависит от единиц измерения исследуемых величин, что ограничивает ее применение на практике. Более удобным для использования в анализе является производный от нее показатель - коэффициент корреляции R, вычисляемый по формуле:

(3.5).

Коэффициент корреляции обладает теми же свойствами, что и ковариация, однако является безразмерной величиной и принимает значения от -1 (характеризует линейную обратную взаимосвязь) до +1 (характеризует линейную прямую взаимосвязь). Для независимых случайных величин значение коэффициента корреляции близко к 0.

Определение количественных характеристик для оценки тесноты взаимосвязи между случайными величинами в ППП EXCEL может быть осуществлено двумя способами:

с помощью статистических функций КОВАР() и КОРРЕЛ();

с помощью специальных инструментов статистического анализа.

Если число исследуемых переменных больше 2, более удобным является использование инструментов анализа. Описание статистических функций КОВАР() и КОРРЕЛ() приведено в приложении 4.

Инструмент анализа данных "Корреляция"

Определим степень тесноты взаимосвязей между переменными V, Q, P, NCF и NPV. При этом в качестве меры будем использовать показатель корреляции R.

Выберите в главном меню тему "Сервис" пункт "Анализ данных". Результатом выполнения этих действий будет появление диалогового окна "Анализ данных", содержащего список инструментов анализа.

Выберите из списка "Инструменты анализа" пункт "Корреляция" и нажмите кнопку "ОК" (рис. 3.16). Результатом будет появление окна диалога инструмента "Корреляция".

Заполните поля диалогового окна, как показано на рис. 3.17 и нажмите кнопку "ОК".

Вид полученной ЭТ после выполнения элементарных операций форматирования приведен на рис. 3.18.

Рис. 3.16 Список инструментов анализа (выбор пункта "Корреляция")

Рис. 3.17. Заполнение окна диалога инструмента "Корреляция"

Рис. 3.18. Результаты корреляционного анализа

Результаты корреляционного анализа представлены в ЭТ в виде квадратной матрицы, заполненной только наполовину, поскольку значение коэффициента корреляции между двумя случайными величинами не зависит от порядка их обработки. Нетрудно заметить, что эта матрица симметрична относительно главной диагонали, элементы которой равны 1, так как каждая переменная коррелирует сама с собой.

Как следует из результатов корреляционного анализа, выдвинутая в процессе решения предыдущего примера гипотеза о независимости распределений ключевых переменных V, Q, P в целом подтвердилась. Значения коэффициентов корреляции между переменными расходами V, количеством Q и ценой Р (ячейки В3.В4, С4) достаточно близки к 0.

В свою очередь величина показателя NPV напрямую зависит от величины потока платежей (R = 1). Кроме того, существует корреляционная зависимость средней степени между Q и NPV (R = 0,548), P и NPV (R = 0,67). Как и следовало ожидать, между величинами V и NPV существует умеренная обратная корреляционная зависимость (R = -0,39).

Полезность проведения последующего статистического анализа результатов имитационного эксперимента заключается также в том, что во многих случаях он позволяет выявить некорректности в исходных данных, либо даже ошибки в постановке задачи. В частности в рассматриваемом примере, отсутствие взаимосвязи между переменными затратами V и объемами выпуска продукта Q требует дополнительных объяснений, так как с увеличением последнего, величина V также должна расти (Переменные затраты также часто называют пропорциональными, имея в виду что с увеличением объемов выпуска продукта они растут линейно). Таким образом, установленный диапазон изменений переменных затрат V нуждается в дополнительной проверке и, возможно, корректировке.

Следует отметить, что близкие к нулевым значения коэффициента корреляции R указывают на отсутствие линейной связи между исследуемыми переменными, но не исключают возможности нелинейной зависимости. Кроме того, высокая корреляция не обязательно всегда означает наличие причинной связи, так как две исследуемые переменные могут зависеть от значений третьей.

При проведении имитационного эксперимента и последующего вероятностного анализа полученных результатов мы исходили из предположения о нормальном распределении исходных и выходных показателей. Вместе с тем, справедливость сделанных допущений, по крайней мере для выходного показателя NPV, нуждается в проверке.

Для проверки гипотезы о нормальном распределении случайной величины применяются специальные статистические критерии: Колмогорова-Смирнова, . В целом ППП EXCEL позволяет быстро и эффективно осуществить расчет требуемого критерия и провести статистическую оценку гипотез.

Однако в простейшем случае для этих целей можно использовать такие характеристики распределения, как асимметрия (скос) и эксцесс (см. главу 3). Напомним, что для нормального распределения эти характеристики должны быть равны 0. На практике близкими к нулевым значениями можно пренебречь. Для вычисления коэффициента асимметрии и эксцесса в ППП EXCEL реализованы специальные статистические функции - СКОС() и ЭКСЦЕСС(). Форматы и краткое описание этих функций приведены в приложении 4.

Мы же будем использовать возникшую проблему как повод для знакомства с еще одним полезным инструментом анализа данных ППП EXCEL - "Описательная статистика".

Инструмент анализа данных "Описательная статистика"

Чем больше характеристик распределения случайной величины нам известно, тем точнее мы можем судить об описываемых ею процессов. Инструмент "Описательная статистика" автоматически вычисляет наиболее широко используемые в практическом анализе характеристики распределений. При этом значения могут быть определены сразу для нескольких исследуемых переменных.

Определим параметры описательной статистики для переменных V, Q, P, NCF, NPV. Для этого необходимо выполнить следующие шаги.

Выберите в главном меню тему "Сервис" пункт "Анализ данных". Результатом выполнения этих действий будет появление диалогового окна "Анализ данных", содержащего список инструментов анализа.

Выберите из списка "Инструменты анализа" пункт "Описательная статистика" и нажмите кнопку "ОК". Результатом будет появление окна диалога инструмента "Описательная статистика".

Заполните поля диалогового окна, как показано на рис. 3.19 и нажмите кнопку "ОК".

Результатом выполнения указанных действий будет формирование отдельного листа, содержащего вычисленные характеристики описательной статистики для исследуемых переменных. Выполнив операции форматирования, можно привести полученную ЭТ к более наглядному виду (рис. 3.20).

Рис. 3.19. Заполнение полей диалогового окна "Описательная статистика"

Рис. 3.20. Описательная статистика для исследуемых переменных

Многие из приведенных в данной ЭТ характеристик вам уже хорошо знакомы, а их значения уже определены с помощью соответствующих функций на листе "Результаты анализа". Поэтому рассмотрим лишь те из них, которые не упоминались ранее.

Вторая строка ЭТ содержит значения стандартных ошибок для средних величин распределений. Другими словами среднее или ожидаемое значение случайной величины М(Е) определено с погрешностью .

Медиана - это значение случайной величины, которое делит площадь, ограниченную кривой распределения, пополам (т.е. середина численного ряда или интервала). Как и математическое ожидание, медиана является одной из характеристик центра распределения случайной величины. В симметричных распределениях значение медианы должно быть равным или достаточно близким к математическому ожиданию.

Как следует из полученных результатов, данное условие соблюдается для исходных переменных V, Q, P (значения медиан лежат в диапазоне М(Е) , т.е. - практически совпадают со средними). Однако для результатных переменных NCF, NPV значения медиан лежат ниже средних, что наводит на мысль о правосторонней асимметричности их распределений.

Мода - наиболее вероятное значение случайной величины (наиболее часто встречающееся значение в интервале данных). Для симметричных распределений мода равна математическому ожиданию. Иногда мода может отсутствовать. В данном случае ППП EXCEL вернул сообщение об ошибке. Таким образом, вычисление моды не представляется возможным.

Эксцесс характеризует остроконечность (положительное значение) или пологость (отрицательное значение) распределения по сравнению с нормальной кривой. Теоретически, эксцесс нормального распределения должен быть равен 0. Однако на практике для генеральных совокупностей больших объемов его малыми значениями можно пренебречь.

В рассматриваемом примере примерно одинаковый положительный эксцесс наблюдается у распределений переменных Q, NCF, NPV. Таким образом графики этих распределений будут чуть остроконечнее, по сравнению с нормальной кривой. Соответственно графики распределений для переменных V и Р будут чуть более пологими, по отношению к нормальному.

Асимметричность (коэффициент асимметрии или скоса - s) характеризует смещение распределения относительно математического ожидания. При положительном значении коэффициента распределение скошено вправо, т.е. его более длинная часть лежит правее центра (математического ожидания) и обратно. Для нормального распределения коэффициент асимметрии равен 0. На практике, его малыми значениями можно пренебречь.

В частности асимметрию распределений переменных V, Q, P в данном случае можно считать несущественной, чего нельзя однако сказать о распределении величины NPV.

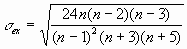
Осуществим оценку значимости коэффициента асимметрии для распределения NPV. Наиболее простым способом получения такой оценки является определение стандартной (средней квадратической) ошибки асимметрии, рассчитываемой по формуле:

(3.6)

где n - число значений случайной величины (в данном случае - 500).

Если отношение коэффициента асимметрии s к величине ошибки меньше трех (т.е.: s / < 3), то асимметрия считается несущественной, а ее наличие объясняется воздействием случайных факторов. В противном случае асимметрия статистически значима и факт ее наличия требует дополнительной интерпретации. Осуществим оценку значимости коэффициента асимметрии для рассматриваемого примера.

Введите в любую ячейку ЭТ формулу:

= 0,763 / КОРЕНЬ(6*499 / 501*503) (Результат: 7,06).

Поскольку отношение s / > 3, асимметрию следует считать существенной. Таким образом наше первоначальное предположение о правосторонней скошенности распределения NPV подтвердилась.

Для рассматриваемого примера наличие правосторонней асимметрии может считаться положительным моментом, так как это означает, что большая часть распределения лежит выше математического ожидания, т.е. большие значения NPV являются более вероятными.

Аналогичным способом можно осуществить проверку значимости величины эксцесса - е. Формула для расчета стандартной ошибки эксцесса имеет следующий вид:

(3.7)

где:

n - число значений случайной величины.

Если отношение e / < 3, эксцесс считается незначительным и его величиной можно пренебречь.

Вы можете включить проверку значимости показателей асимметрии и эксцесса в разработанный шаблон, задав соответствующие формулы в листе "Результаты анализа". Для удобства предварительно следует определить собственное имя для ячейки В10 листа "Имитация", например - "Кол_знач". Тогда формула проверки значимости коэффициента асимметрии для распределения NPV может быть задана следующим образом:

=СКОС(ЧСС)/КОРЕНЬ(6*(Кол_знач -1))/((Кол_знач+1)*(Кол_знач+ 3)).

Для вычисления коэффициента асимметрии в этой формуле использована статистическая функция СКОС(). Формула для проверки значимости показателя эксцесса задается аналогичным образом. Числителем этой формулы будет функция ЭКСЦЕСС(), а знаменателем соотношение (3.7), реализованное в средствами ППП EXCEL.

Оставшиеся показатели описательной статистики (рис. 3.20) представляют меньший интерес. Величина "Интервал" определяется как разность между максимальным и минимальным значением случайной величины (численного ряда). Параметры "Счет" и "Сумма" представляют собой число значений в заданном интервале и их сумму соответственно.

Последняя характеристика " Уровень надежности " показывает величину доверительного интервала для математического ожидания согласно заданному уровню надежности или доверия.По умолчанию уровень надежности принят равным 95 %.

Для рассматриваемого примера это означает, что с вероятностью 0,95 (95%) величина математического ожидания NPV попадет в интервал 3412,14 224,88.

Вы можете указать другой уровень надежности, например - 98%, путем ввода соответствующего значения в поле "Уровень надежности" диалогового окна "Описательная статистика". Следует отметить, что чем выше принятый уровень надежности, тем больше будет величина доверительного интервала для среднего.

Расчет доверительного интервала для среднего значения можно также осуществить с помощью специальной статистической функции ДОВЕРИТ() (см. приложение 4).

Дополнение "Анализ данных" содержит целый ряд других полезных инструментов, позволяющих быстро и эффективно осуществить требуемый вид обработки данных. Вместе с тем, большинство из них требует осмысленного применения и соответствующей подготовки пользователя в области математической статистики.

В заключении отметим, что имитационное моделирование позволяет учесть максимально возможное число факторов внешней среды для поддержки принятия управленческих решений и является наиболее мощным средством анализа инвестиционных рисков. Необходимость его применения в отечественной финансовой практике обусловлена особенностями российского рынка, характеризующегося субъективизмом, зависимостью от внеэкономических факторов и высокой степенью неопределенности.

Результаты имитации могут быть дополнены вероятностным и статистическим анализом и в целом обеспечивают менеджера наиболее полной информацией о степени влияния ключевых факторов на ожидаемые результаты и возможных сценариях развития событий.

К недостаткам рассмотренного подхода следует отнести:

трудность понимания и восприятия менеджерами имитационных моделей, учитывающих большое число внешних и внутренних факторов, вследствие их математической сложности и объемности;

при разработке реальных моделей может возникнуть необходимость привлечения специалистов или научных консультантов со стороны;

относительную неточность полученных результатов, по сравнению с другими методами численного анализа и др.

Несмотря на отмеченные недостатки, в настоящее время имитационное моделирование является основой для создания новых перспективных технологий управления и принятия решений в сфере бизнеса, а развитие вычислительной техники и программного обеспечения делает этот метод все более доступным для широкого круга специалистов-практиков.

 

Комплексные системы информационной поддержки управления

 

Система управления эффективностью (Business Performance Management)

Важнейшей составляющей комплексного решения по автоматизации системы поддержки процессного управления является программное обеспечение класса Business Performance Management – BPM. Система функционирует следующим образом. Данные из прикладных систем поступают в хранилище системы BPM. Далее при помощи возможностей системы (средство ввода данных, информационные панели управления, функционал календарно-сетевого планирования, средство генерации отчетов и проч.) руководители получают возможность:

планировать показатели процесса;

осуществлять оперативный мониторинг фактических значений показателей;

выявлять и анализировать отклонения, выявлять тренды и т.п.;

управлять проектами, направленными на устранение причин отклонений (т.е. выполнять корректирующие действия);

формировать отчеты по результатам выполнения процесса.

Информационные панели управления процессами разрабатываются и внедряются для каждого руководителя компании с учетом:
a. системы процессов;
b. системы показателей для управления процессами;
c. конкретных особенностей процессов, находящих под управлением руководителя
d. личных предпочтений руководителя.

Таким образом, среда BPM является мощнейшим инструментом, обеспечивающим руководителей необходимой информацией для принятия обоснованных управленческих решений. Одним из возможных вариантов выбора системы BPM является отечественная система UPE, разработчиком которой является Московская компания "СофтПром". Система является лидером рынка и динамично развивается.

Система моделирования процессов

Для хранения и актуализации информации по технологиям выполнения процессов может использоваться среда моделирования процессов. Это вторая составляющая комплексного решения по автоматизации системы поддержки процессного управления. В базе данных системы хранится информация по процессам компании (см. выше). Бизнес-аналитики при помощи соответствующих средств вводят информацию в систему (справочники, диаграммы процессов) и выгружают из системы регламентирующие документы в настраиваемом (т.е. нужном компании) формате. Документы могут быть выгружены как в виде файлов MS Word, так и в виде html-страниц. Регламенты процессов (и другие документы) в виде файлов MS Word экспортируются в систему электронного документооборота (см. ниже). Html-страницы используются для формирования внутреннего интернет-портала компании. В качестве средства моделирования процессов может использоваться отечественная система Business Studio, поставщиком которой является ГК "СТУ", Россия. В настоящее время эта система является одним из лидеров российского рынка. В апреле 2010 г. вышла версия 3.5 системы, обладающая функционалом, сравнимым с лучшими западными конкурентами.

Система электронного документооборота

Регламенты процессов (и другие нормативные документы), экспортируются из среды моделирования процессов (например, Business Studio) в систему электронного документооборота DocFlow. Система DocFlow в данном случае используется для поддержки жизненного цикла нормативно-методических документов компании. В системе прописываются маршруты движения документов в соответствии с процедурой управления нормативно-методическими документами внутреннего происхождения. Система DocFlow обеспечивает хранение всех версий документов, рассылку нормативных документов сотрудникам и т.п. Среда моделирования процессов и систем электронного документооборота должны работать в паре. В этом случае эффективность работы с НМД компании существенно повышается. В качестве системы DocFlow отличным вариантом выбора будет отечественная система Directum, Россия.

 

Компьютерные технологии интеллектуальной поддержки управленческих решений

 

По мере совершенствования внутрифирменных связей происходят процессы становления и развития ИТ, сетевых компьютерных техно­логий, которые уже обеспечивают установление связей с поставщика­ми и потребителями. Данный этап связан с внедрением CRM-технологий (Customer Relationship Management — управление взаимоотно­шениями с потребителем). Данный этап развития систем управления соответствует становлению концепции маркетинг взаимодействия. На этом этапе ИТ обеспечивают, кроме традиционных функций, функ­ции обмена информацией в сети «поставщик — потребитель», проведе­ние торгов, формирование единой цепочки «поставщик — потребитель».

Системы ERP и CRM подготовили инфраструктуру для становле­ния и совершенствования концепции маркетинг взаимодействия (рис. 9.1), т.е. построения сети «поставщик — потребитель» на основе использования информации о спросе (маркетинг взаимодействий).

 

 

Результатом дальнейшей информатизации предприятия явилось внедрение ИТ в такие сферы, как: маркетинг, НИОКР, проектирова­ние новых видов продукции, услуг и технологий, сокращение сроков поставок продукции потребителям, финансы, финансовый учет, бух­галтерский учет и др. Информационные технологии выполняют зада­чи сбора и обработки, анализа информации для принятия решений, уменьшение затрат на них. Построение цепочек «поставщик — потре­битель» является основой для создания сетей и организации элект­ронного бизнеса, который существенно трансформировал структуру предприятия. Структура предприятия, использующего системы на базе ERP- и CRM-технологий, представлена на рис. 9.2. Здесь отражена автоматизация бизнес-процессов таких подразделений, как: маркетинг, производство, снабжение и сбыт, НИОКР, финансы, кадры, а также услуги коллективного использования, к которым относятся юридичес­кие, рекрутинговые, аудит и др.

 

 

Классификация CRM-систем может быть осуществлена по несколь­ким признакам, например: по целевому использованию — оператив­ное, аналитическое, коллаборационное (табл. 9.1); отраслям (банков­ский сектор, финансы, фармацевтика, туризм и т.д.); размеру предпри­ятий и др.

Развитие концепции CRM привело к появлению целого ряда на­правлений, таких как: управление взаимоотношениями предприятий 'Enterprise Relationship Management — ERM), управление активами Клиентов (Customer Asset Management — CAM), автоматизация мар­кетинга (Marketing Automation — MA), управление технологически

ориентированными взаимосвязями (Technology-Enabled Relationship Management — TERM). В основу систем CRM положена достаточно зрелая концепция индивидуального маркетинга, которая основана на использовании всей доступной информации о клиентах во благо пред­приятия. Эта технология помогает ориентировать маркетинг на конк­ретного потребителя и позволяет автоматизировать обработку части внешних информационных потоков и сократить транзакционные из­держки.

 

 

Рассматривая CRM как стратегию предприятия, отметим несколь­ко необходимых условий: наличие единого хранилища информации о клиентах, синхронность управления множественными каналами вза­имодействия, постоянный анализ собранной информации.

К достоинствам CRM системы следует отнести: установление близ­ких отношений с клиентом, более упрощенный процесс продаж, появление и выявление новых потенциальных источников дохода, мини­мальный подготовительный период.

Система CRM позволяет: повысить уровень взаимопонимания с клиентами; увеличить прибыли в расчете на одного заказчика; повы­сить эффективность усилий по сбыту традиционных для компании товаров и услуг; снизить накладные расходы, а также затраты на мар­кетинг и администрирование; расширить перечень предлагаемых то­варов и услуг; поднять свой имидж в глазах клиентов. Система CRM способствует формированию единого информационного пространства для синхронизации бизнес-процессов «поставщик — потребитель».




Поделиться с друзьями:


Дата добавления: 2015-06-26; Просмотров: 2004; Нарушение авторских прав?; Мы поможем в написании вашей работы!


Нам важно ваше мнение! Был ли полезен опубликованный материал? Да | Нет



studopedia.su - Студопедия (2013 - 2026) год. Все материалы представленные на сайте исключительно с целью ознакомления читателями и не преследуют коммерческих целей или нарушение авторских прав! Последнее добавление




Генерация страницы за: 0.011 сек.