Студопедия

КАТЕГОРИИ:


Архитектура-(3434)Астрономия-(809)Биология-(7483)Биотехнологии-(1457)Военное дело-(14632)Высокие технологии-(1363)География-(913)Геология-(1438)Государство-(451)Демография-(1065)Дом-(47672)Журналистика и СМИ-(912)Изобретательство-(14524)Иностранные языки-(4268)Информатика-(17799)Искусство-(1338)История-(13644)Компьютеры-(11121)Косметика-(55)Кулинария-(373)Культура-(8427)Лингвистика-(374)Литература-(1642)Маркетинг-(23702)Математика-(16968)Машиностроение-(1700)Медицина-(12668)Менеджмент-(24684)Механика-(15423)Науковедение-(506)Образование-(11852)Охрана труда-(3308)Педагогика-(5571)Полиграфия-(1312)Политика-(7869)Право-(5454)Приборостроение-(1369)Программирование-(2801)Производство-(97182)Промышленность-(8706)Психология-(18388)Религия-(3217)Связь-(10668)Сельское хозяйство-(299)Социология-(6455)Спорт-(42831)Строительство-(4793)Торговля-(5050)Транспорт-(2929)Туризм-(1568)Физика-(3942)Философия-(17015)Финансы-(26596)Химия-(22929)Экология-(12095)Экономика-(9961)Электроника-(8441)Электротехника-(4623)Энергетика-(12629)Юриспруденция-(1492)Ядерная техника-(1748)

Уравнение сепарации зерна и определение потерь урожая при использовании соломотряса




 

Обычно производительность комбайна в нашей стране характеризуется величиной подачи хлебной массы q, которая каждую секунду может поступать в молотилку:

, (30)

где В - ширина захвата жатки, м;

VM -скорость движения машины по полю, км/ч;

Qз - урожайность зерна на поле, ц/га;

Qс -урожайность соломы, ц/га;

e -коэффициент, учитывающий часть соломы, поступающей в молотилку, по отношению к общему ее количеству, e=0,8...0,9 в зависимости от высоты оставляемой стерни.

Полнота выделения зерна из соломы на клавишах во многом зависит от исходного содержания зерна в хлебной массе и сепарирующей способности молотильного аппарата.

Если исходное содержание зерна охарактеризовать коэффициентом b, то

. (31)

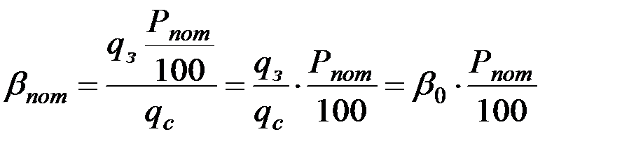
Считается, что наиболее характерным значением b является 0,4, что соответствует отношению массы зерна к массе соломы., как 1: 1,5. Коэффициент можно интерпретировать и как

b = qз/(qз + qc) = qз/q, (32)

гдe qз ‑ подача зерна (кг/с) в молотилку комбайна, поскольку числитель и знаменатель формулы (32) пропорциональны coответствующим значениям (31). Но использование этого коэффициента для характеристики работы соломотряса затруднительно, так как учет просеивания зерна изменит и числитель, и знаменатель уравнения (32). Значительно удобнее при исследовании процесса сепарации подачу зерна qз относить к qc, а не ко всей хлебной массе, так как количество соломы на клавишах можно считать постоянным:

. (33)

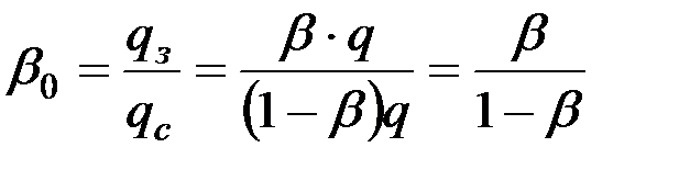
При решетчатой деке через подбарабанье пройдет часть общей массы зерна в количестве b (b = 70...80%). В этом случае содержание зерна в соломе на выходе соломотряса уменьшится:

b0¢ = b0×(100 - b)/100.

Содержание зерна в соломе непрерывно изменяется от начала соломотряса к его концу, т. е.

by = f(у).

Графически эту закономерность можно изобразить в виде кривой (рис. 9).

Рис. 9. Закономерность просеивания зерна на соломотрясе

 

Вывод уравнения сепарации представляет собой определение вероятности прохождения зерна через решетку, образуемую отдельными соломинами слоя вороха, при просеивании зерна через поверхность клавиш. Если вероятность просеивания зерна через поверхность соломотряса обозначить Р1, причем

P1 = S1/S,

где S1 ‑ площадь отверстий поверхности соломотряса;

S ‑ общая площадь соломотряса, а вероятность прохода через пространственную решетку слоя соломы Р, то вероятность просеивания зерна на соломотрясе за одно встряхивание определится произведением P1 и Р2 (события должны произойти одновременно):

P = P1 × P2.

За время между двумя последовательными встряхиваниями t1 солома пройдет путь (Vmy)cp × t1. Относительная вероятность (1/м) просеивания, отнесенная к единице пути (перемещения) слоя вороха

,

называется коэффициентом сепарации.

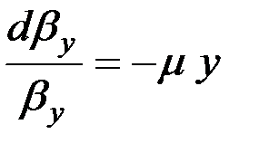
Пусть за время dt ворох переместится по соломотрясу на величину dy. Вероятность просеивания зерна на этом участке соломотряса составит m×dy, а уменьшение зерна в соломе произойдет на величину

.

Относительное уменьшение содержания зерна в соломе произойдет на

или

.

Интегрируя это уравнение, можно получить

ln by = -m×y+c.

Постоянную интегрирования находят по начальным условиям при у = 0, С = lnb0, а при решетчатой деке

.

С учетом этого значения

.

Потенцируя это уравнение, находят закономерность просеивания зерна на соломотрясе:

. (35)

Коэффициент просеивания зерна m, находят экспериментально. Установлено, что он зависит от толщины слоя хлебной массы Н на соломотрясе и состояния соломы:

, (36)

где m0 ‑ коэффициент просеивания зерна при фиксированной толщине слоя соломы Н = 0,2 м;

m ‑ коэффициент, характеризующий условия уборки, m = 0,8...1,2.

Толщина слоя соломы на клавишах Н зависит от величины секундной подачи q, ширины соломотряса Вс и средней скорости перемещения вороха (Vmy)cp:

, (37)

где gс ‑ объемная масса соломы, кг/м3.

На конце соломотряса длиной L

by = bпот,

где bпот ‑ коэффициент, характеризующий содержание зерна в соломе, сходящей с соломотряса,

. (38)

Обычно потери зерна на сходе с соломотряса принято считать в процентах от общего количества зерна, поступающего в комбайн (допустим, Рпот., %), тогда

. (39)

По уравнению (38) можно найти длину соломотряса, при которой потери не превзойдут допустимого уровня (Рпот = 1%)

,

откуда

. (40)

Учитывая значения bпот и b0 по уравнениям (38) и (39), можно определить при той или иной длине соломотряса

. (41)

 

Пример обоснования основных размеров соломотряса, для комбайна с пропускной способностью 5 кг/с.

 

1. Ширина соломотряса обычно составляет

,

где Lб – длина барабана.

У комбайнов этого класса Вс = 1,2 м.

2. Коэффициент содержания зерна в хлебной массе (32)

(при отношении веса зерна к весу соломы 1: 1,5).

3. Коэффициент содержания зерна в соломе (33)

.

4. При решетчатой деке (b), процентов зерна пройдет через нее, тогда на входе в соломотряс содержание зерна в соломе изменится

.

Если b = 70%, то .

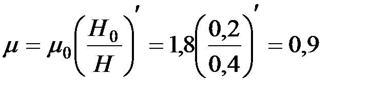
5. Экспериментально найденное значение коэффициента просеивания m0 для слоя соломы Н0 оказалось равным

m0 = 1,8 м-1.

Коэффициент m зависит (как уже отмечено ранее) от толщины слоя соломы ,

где m = 0,8…1,2, в зависимости от состояния хлебостоя.

6. Толщина слоя соломы на соломотрясе окажется равной м,

где gс = 15…20 кг/м3 – плотность соломы;

(Vmy)ср = 0,34 м/с – средняя скорость соломы по результатам измерения на лабораторной установке.

7. Рабочее значение коэффициента просеивания при этой толщине слоя будет равно

м-1.

8. Если коэффициент допустимых потерь считать Рд.п. = 1%, то .

9. Длина соломотряса потребуется равной м.

10. В случае снижения потерь до 0,5% длину соломотряса требуется увеличить до м.

Литература

 

1. Б.Г. Турбин и др. Сельскохозяйственные машины. Л.: Машиностроение, 1967, - 583 с.

2. А.Ф. Кошурников и лр. Анализ технологических процессов, выполняемых сельскохозяйственными машинами, с использованием ЭВМ. Часть 2. Пермь, 1998, 370 с.


 




Поделиться с друзьями:


Дата добавления: 2015-06-04; Просмотров: 2790; Нарушение авторских прав?; Мы поможем в написании вашей работы!


Нам важно ваше мнение! Был ли полезен опубликованный материал? Да | Нет



studopedia.su - Студопедия (2013 - 2025) год. Все материалы представленные на сайте исключительно с целью ознакомления читателями и не преследуют коммерческих целей или нарушение авторских прав! Последнее добавление




Генерация страницы за: 0.007 сек.