Студопедия

КАТЕГОРИИ:


Архитектура-(3434)Астрономия-(809)Биология-(7483)Биотехнологии-(1457)Военное дело-(14632)Высокие технологии-(1363)География-(913)Геология-(1438)Государство-(451)Демография-(1065)Дом-(47672)Журналистика и СМИ-(912)Изобретательство-(14524)Иностранные языки-(4268)Информатика-(17799)Искусство-(1338)История-(13644)Компьютеры-(11121)Косметика-(55)Кулинария-(373)Культура-(8427)Лингвистика-(374)Литература-(1642)Маркетинг-(23702)Математика-(16968)Машиностроение-(1700)Медицина-(12668)Менеджмент-(24684)Механика-(15423)Науковедение-(506)Образование-(11852)Охрана труда-(3308)Педагогика-(5571)Полиграфия-(1312)Политика-(7869)Право-(5454)Приборостроение-(1369)Программирование-(2801)Производство-(97182)Промышленность-(8706)Психология-(18388)Религия-(3217)Связь-(10668)Сельское хозяйство-(299)Социология-(6455)Спорт-(42831)Строительство-(4793)Торговля-(5050)Транспорт-(2929)Туризм-(1568)Физика-(3942)Философия-(17015)Финансы-(26596)Химия-(22929)Экология-(12095)Экономика-(9961)Электроника-(8441)Электротехника-(4623)Энергетика-(12629)Юриспруденция-(1492)Ядерная техника-(1748)

Красители




Приведем еще один химический пример явления, связанного с двумя состояниями, но на этот раз на уровне крупных молекул. Касается это теории красителей. У многих красителей, а именно у большинства искусственных красителей, есть одна общая характеристика — они обладают своего рода симметрией. На фиг. 8.9 изображен ион одного из красителей — фуксина (он дает пурпурный цвет).

 

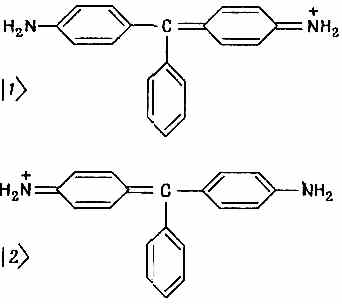
Фиг. 8.9. Пара базисных состояний для молекулы красите­ля фуксин.

 

В молекуле есть три кольцевые структуры, две из которых — бензольные кольца. Третья не совсем совпадает с бензольным кольцом, потому что внутри кольца в ней только две двойные связи. На рисунке показаны две в равной степени подходящие схемы, и мы догадываемся, что их энергии должны быть равны. Но имеется еще и амплитуда того, что все электроны смогут переброситься из одного состояния в другое, передвинув местоположение «незаполненного» кольца в другой конец. Когда электронов так много, то амплитуда переброса несколько ниже, чем у бензола, и различие в энергиях двух стационарных состояний не так велико. Но тем не менее все равно имеется обычная пара стационарных состояний | I > и | II >, представляющая собой сумму и разность двух базисных состояний, показанных на рисунке. Энергетический промежуток между | I >и | II > оказывается равным энергии фотона в оптической области. Если молекулу осветить, возникает очень сильное поглощение при некоторой частоте и молекула покажет­ся ярко окрашенной. Вот почему она краситель! Другая интересная черта такой молекулы красителя — в двух изображенных базисных состояниях центры электриче­ского заряда расположены в разных местах. В итоге молекула должна быть сильно подвержена действию внешнего электрического поля. Такой же эффект мы наблюдали в молекуле аммиака. Ясно, что его можно анализировать при помощи той же матема­тики, если только известны числа Е 0и А. Их. вообще говоря получают, накапливая опытные данные. Если проделать изме­рения со многими красителями, то часто можно догадаться, что произойдет с какой-то родственной молекулой красителя. Из-за сильного сдвига местоположения центра электрического заряда значение m в формуле (7.55) велико, и вещество обладает большой вероятностью поглощения света с характеристической частотой 2A/h. Значит, вещество не просто окрашено, а окрашено очень густо — малое количество вещества поглощает много света. Скорости переброса (и тем самым А) очень чувствительны ко всей структуре молекулы. Если изменить А, то изменится расщепление энергии и вместе с ним цвет красителя. Кроме того, молекулы не обязаны быть совершенно симметричными. Мы видели, что то же самое основное явление бывает и при не­больших видоизменениях—даже когда имеется небольшая асим­метрия. Небольшого изменения цвета можно добиваться вве­дением в молекулы легких асимметрий. Так, другой важный краситель, малахитовая зелень, очень похож на фуксин, только у него две из имеющихся молекул водорода замещены на СН3. Цвет выходит другой, потому что А сдвинуто и скорость пере­броса электронов изменилась.




Поделиться с друзьями:


Дата добавления: 2015-06-04; Просмотров: 436; Нарушение авторских прав?; Мы поможем в написании вашей работы!


Нам важно ваше мнение! Был ли полезен опубликованный материал? Да | Нет



studopedia.su - Студопедия (2013 - 2025) год. Все материалы представленные на сайте исключительно с целью ознакомления читателями и не преследуют коммерческих целей или нарушение авторских прав! Последнее добавление




Генерация страницы за: 0.116 сек.