Студопедия

КАТЕГОРИИ:


Архитектура-(3434)Астрономия-(809)Биология-(7483)Биотехнологии-(1457)Военное дело-(14632)Высокие технологии-(1363)География-(913)Геология-(1438)Государство-(451)Демография-(1065)Дом-(47672)Журналистика и СМИ-(912)Изобретательство-(14524)Иностранные языки-(4268)Информатика-(17799)Искусство-(1338)История-(13644)Компьютеры-(11121)Косметика-(55)Кулинария-(373)Культура-(8427)Лингвистика-(374)Литература-(1642)Маркетинг-(23702)Математика-(16968)Машиностроение-(1700)Медицина-(12668)Менеджмент-(24684)Механика-(15423)Науковедение-(506)Образование-(11852)Охрана труда-(3308)Педагогика-(5571)Полиграфия-(1312)Политика-(7869)Право-(5454)Приборостроение-(1369)Программирование-(2801)Производство-(97182)Промышленность-(8706)Психология-(18388)Религия-(3217)Связь-(10668)Сельское хозяйство-(299)Социология-(6455)Спорт-(42831)Строительство-(4793)Торговля-(5050)Транспорт-(2929)Туризм-(1568)Физика-(3942)Философия-(17015)Финансы-(26596)Химия-(22929)Экология-(12095)Экономика-(9961)Электроника-(8441)Электротехника-(4623)Энергетика-(12629)Юриспруденция-(1492)Ядерная техника-(1748)

Состояния поляризации фотона




Есть множество других интересных для изучения систем с двумя состояниями, и первая, о которой мы бы хотели пого­ворить,— это фотон. Чтобы описать фотон, нужно сначала задать вектор его импульса. У свободного фотона импульс определяет и частоту, так что указывать особо частоту не придется. Но еще остается одно свойство, именуемое поляризацией. Представьте себе фотон, приходящий к вам с определенной монохроматиче­ской частотой (которую во всем нашем обсуждении мы будем считать постоянной, так что можно не говорить о множестве состояний импульса).Тогда существуют два направления поля­ризации. По классической теории свет обладает, например, либо горизонтально колеблющимся электрическим полем, либо вертикально колеблющимся электрическим полем; этот свет двух сортов называют x -поляризованным и y -поляризованным светом. У света может быть и какое-то иное направление поляризации, его можно создать суперпозицией полей в направ­лении x и в направлении у. Или, взяв х- и y -компоненты со сдви­гом фаз в 90°, получить вращающееся электрическое поле — свет будет поляризован эллиптически. [Это краткое напомина­ние классической теории поляризованного света, которую мы изучали в гл. 33 (вып. 3).]

Пусть теперь у нас есть одиночный фотон, всего один. Уже нет электрического поля, которое можно было бы рассматривать прежним способом. Один-единственный фотон и ничего больше. по он тоже должен обладать аналогом классического явления поляризации. Значит, должны существовать по крайней мере два разных сорта фотонов. Сперва могло бы показаться, что их должно быть бесконечное множество, ведь, как бы то ни было, электрический вектор может быть направлен в любую сторону. Однако поляризацию фотона можно описать как систему с двумя состояниями. Фотон может быть либо в состоянии >, либо |в состоянии | у >. Под | х >подразумевается состояние поляризации каждого из фотонов в пучке света, который классически x -поляризован. А | у >означает состояние поляризации каждого из фотонов в y -поляризованном пучке. Эти | х >вы можете выбрать в качестве базисных состояний фотона с данным [направленным на вас импульсом—импульсом в направлении z.

Итак, существуют два базисных состояния | x > и | y >, и их вполне хватает, чтобы описать всякий фотон.

К примеру, если у нас есть поляроид, ось которого распо­ложена так, чтобы пропускать свет, поляризованный в направ­лении, которое мы называем направлением х, и если мы напра­вили туда фотон, который, как нам известно, находится в состоя­нии | у >, то он поглотится поляроидом. Если послать туда фотон, который, как нам известно, находится в состоянии | х >, он и выйдет в состоянии | x >. Когда мы берем кусок кальцита (исландского пшата), который расщепляет пучок поляризован­ного света на | x >-пучок и | y >-пучок, то этот кусок кальцита полностью аналогичен прибору Штерна — Герлаха, расщеп­ляющему пучок атомов серебра на два состояния |+> и |->. Значит, все, что мы раньше делали с частицами и приборами Штерна — Герлаха, можно повторить со светом и кусками поляроида. А что можно сказать о свете, который отфильтрован куском поляроида, повернутым на угол 6? Другое ли это состоя­ние? Да, действительно, это другое состояние. Обозначим ось поляроида х', чтобы отличать ее от осей наших базисных состояний (фиг. 9.2).

Фиг. 9.2. Оси координат, перпендику­лярные к вектору импульса фотона.

Выходящий наружу фотон будет в состоя­нии | х' >. Но всякое состояние может быть представлено в виде линейной комбинации базисных состояний, а формула для такой комбинации известна:

Иначе говоря, если фотон пройдет сквозь кусок поляроида, повернутого на угол q (по отношению к х), он все равно может быть разрешен на | x >- и | y >-пучки (например, куском каль­цита). Или, если угодно, вы можете в своем воображении просто разбить его на х- и y -компоненты. Любым путем вы получите амплитуду cosq быть в | х >-состоянии и амплитуду sinq быть в | y >-состоянии.

Теперь поставим такой вопрос: пусть фотон поляризован в направлении х' куском поляроида, повернутого на угол q,

 

 

и пусть он попадет в другой поляроид, повернутый на угол нуль (фиг. 9.3).

Фиг. 9.3. Две поляроидные пластины с углом q между плоскостями поляризации.

 

Что тогда произойдет? С какой вероятностью он прой­дет сквозь поляроид? Ответ: Пройдя первый поляроид, фотон наверняка оказывается в состоянии | х' >. Через второй поля­роид он протиснется лишь в том случае, если будет в состоянии | x > (и поглотится им, оказавшись в состоянии | у >). Значит, мы спрашиваем, с какой вероятностью фотон окажется в состоя­нии | x >? Эту вероятность мы получим из квадрата модуля амплитуды <x|x'>, амплитуды того, что фотон в состоянии | х' >находится также и в состоянии | x >. Чему равно < x | x '>? Умножив (9.33) на < x |, получим

Но < x | y >=0; это следует из физики, так должно быть, если | х >и | у >суть базисные состояния, а < x | x >=l. И мы полу­чаем

< x | x '>=cosq,

а вероятность равна cos2q. Например, если первый поляроид поставлен под углом 30°, то 3/4 времени фотон будет проходить через него, a 1/4времени будет нагревать поляроид, поглощаясь внутри него.

Посмотрим теперь, что в такой же ситуации происходит с точки зрения классической физики. Там мы имели бы пучок света, электрическое поле которого меняется тем или иным обра­зом,— скажем «неполяризованный» пучок. После того как он прошел бы через первый поляроид, электрическое поле величи­ны xначало бы колебаться в направлении х'; мы бы начертили его в виде колеблющегося вектора с пиковым значением x0на диаграмме фиг, 9.4.

Фиг. 9.4. Классическая картина электрического вектора x.

 

Если бы затем свет достиг второго поля­роида, то черен него прошла бы только x -компонента x0cosq электрического поля. Интенсивность была бы пропорциональна квадрату поля, т. е. x2cos2q. Значит, проходящая сквозь последний поляроид энергия была бы в cos2q слабее энергии, поступающей в него.

И классическая, и квантовая картины приводят к одинако­вым результатам. Если бы вы бросили на второй поляроид 10 миллиардов фотонов, а средняя вероятность прохождения каждого из них была бы, скажем, 3/4, то следовало бы ожидать, что сквозь него пройдет 3/4 от 10 миллиардов. Равным образом и энергия, которую они унесли бы, составила бы 3/4 той энер­гии, которую вам хотелось протолкнуть через поляроид. Клас­сическая теория ничего не говорит о статистике этих вещей, она попросту утверждает, что энергия, которая пройдет на­сквозь, в точности равна 3/4 той энергии, которая была пущена в поляроид. Это, конечно, немыслимо, если фотон только один. Не бывает 3/4 фотона. Либо он весь здесь, либо его вовсе нет. И квантовая механика говорит нам, что он бывает весь здесь 3/4 времени. Связь обеих теорий ясна.

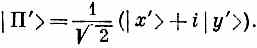
А как же с другими сортами поляризации? Скажем, с пра­вой круговой поляризацией? В классической теории компо­ненты х и у правой круговой поляризации были равны, но сдвинуты по фазе на 90°. В квантовой теории фотон, поляризо­ванный по кругу вправо («правый»), обладает равными ампли­тудами быть | х > - и | у >-поляризованным, и эти амплитуды сдвинуты по фазе на 90°. Обозначая состояние «правого» фотона через |II>, а состояние «левого» фотона через |Л>, можно написать [см. гл. 33, § 1 (вып. 3)]

множитель 1/Ö2 поставлен, чтобы нормировать состояния. С помощью этих состояний можно подсчитывать любые эффекты, связанные с фильтрами или интерференцией, применяя законы квантовой теории. При желании можно также выбрать в каче­стве базисных состояний |П> и |Л> и все представлять через них. Надо только предварительно убедиться, что <П|Л>=0, а это можно сделать, взяв сопряженный вид первого уравнения [см. (6.13)] и перемножив их друг с другом. Можно расклады­вать свет, пользуясь в качестве базиса и х-, и y -поляризациями, и х'-, и y' -поляризациями, а можно—и правой, и левой поляри­зациями.

Попробуйте (просто для упражнения) обратить наши фор­мулы. Можно ли представить состояние |х> в виде линейной комбинации правого и левого? Да, вот ответ:

Доказательство: сложите и вычтите два уравнения в (9.34). От одного базиса к другому очень легко переходить.

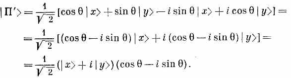
Впрочем, одно замечание надо бы сделать. Если фотон поля­ризован по правому кругу, он не имеет никакого касательства к осям х и у. Если бы мы взглянули на него из системы коорди­нат, повернутой вокруг направления полета на какой-то угол, то свет по-прежнему был бы поляризован по кругу; то же с левой поляризацией. Право- и левополяризованный по кругу свет при любом таком повороте одинаков; определение не зависит от выбора направления х (если не считать того, что направление фотона задано). Великолепно, не так ли? Для определения не нужны никакие оси. Куда лучше, чем х и у!Но, с другой стороны, не чудо ли, что, складывая левое и правое, вы в состоянии узнать, где было направление x? Если «правое» и «левое» никак не зависят от х, как же получается, что мы можем сложить их и вновь получить x? На этот вопрос можно частью отве­тить, расписав состояние |П'>, представляющее фотон, правополяризованный в системе координат х', у'. В этой системе мы бы написали

Как же будет выглядеть такое состояние в системе х, у? Подста­вим | х' > из (9.33) и соответствующее | у' >; мы его не выписывали, но оно равно (-sinq)| x >+(cosq)| y >. Тогда

Первый множитель — это просто | П>, а второй е-iq; итог таков:

Состояния | П'> и | П> отличаются только фазовым множи­телем е-iq. Если подсчитать такую же вещь для | Л' >, мы полу­чим

Теперь мы видим, что происходит. Сложив |П> и |Л>, мы получаем нечто отличное от того, что получилось бы при сложении |П'> и |Л'>. Скажем, x -поляризованный фотон есть [см. (9.35)] сумма |П> и |Л>, но y -поляризованный фо­тон — это сумма со сдвигом фазы первого на 90° назад, а вто­рого — на 90° вперед. Это просто то же самое, что получилось бы из суммы |П> и |Л'> при определенном выборе угла 0=90°, и это правильно, В штрихованной системе x -поляризация — это то же самое, что y -поляризация в первоначальной системе. Значит, не совсем верно, что поляризованный по кругу фотон выглядит в любой системе осей одинаково. Его фаза (фазовое соотношение между право- и левополяризованными по кругу состояниями) запоминает направление х.

§ 5. Нейтральный К-мезон**

Теперь мы расскажем о двухуровневой системе из мира странных частиц — о системе, для которой квантовая механика приводит к поразительнейшим предсказаниям. Полное описание этой системы потребовало бы от нас таких знаний о странных частицах, каких у нас пока нет, поэтому, к сожалению, кое- какие углы нам придется срезать. Мы лишь вкратце успеем изложить историю того, как было сделано одно открытие, чтобы показать вам, какого типа рассуждения для этого потребовались. Началось это с открытия Гелл-Манном и Нишиджимой понятия странности и нового закона сохранения странности.

И вот когда Гелл-Манн и Пайс проанализировали следствия из этих новых представлений, то они пришли к предсказанию замечательнейшего явления, о котором мы и хотим повести речь.

Сперва, однако, нужно немного рассказать о «странности».

Начать нужно с того, что называется сильными взаимодейст­виями ядерных частиц. Существуют взаимодействия, которые ответственны за мощные ядерные силы, в отличие, например, от относительно более слабых электромагнитных взаимодейст­вий. Взаимодействия «сильны» в том смысле, что если две части­цы сойдутся так близко, чтобы быть способными взаимодейст­вовать, то взаимодействуют они очень мощно и создают другие частицы очень легко. Ядерные частицы обладают еще так назы­ваемым «слабым взаимодействием», в результате которого происходят такие вещи, как бета-распад; но они всегда происходят очень медленно (по ядерным масштабам времени): слабые взаимо­действия на много-много порядков величины слабее, чем силь­ные, и даже слабее, чем электромагнитные.

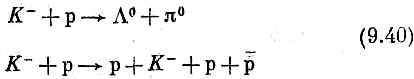
Когда при помощи больших ускорителей начали изучать сильные взаимодействия, все были поражены, увидев, что некоторые вещи, которые «должны были» произойти (ожида­лось, что они произойдут), на самом деле не возникали. К при­меру, в некоторых взаимодействиях не появлялась частица опре­деленного сорта, хотя ожидалось, что она появится. Гелл-Манн и Нишиджима заметили, что многие из этих странных случаев можно было объяснить одним махом, изобретя новый закон сохранения: сохранение странности. Они предположили, что существует свойство нового типа, связываемое с каждой части­цей,— число, названное ими «странностью»,— и что во всяком сильном взаимодействии «количество странности» сохраняется. Предположим, например, что отрицательный K -мезон высокой энергии, скажем с энергией во много Гэв, сталкивается с протоном. Из их взаимодействия могут произойти много других частиц: p-мезонов, K -мезонов, A -частиц, S -частиц,— любые из мезонов или барионов, перечисленных в табл. 2.2 (вып. 1). Оказалось, однако, что возникали только определенные комбинации, а другие — никогда.

Про некоторые законы сохранения было известно, что они обязаны соблюдаться. Во-первых, всегда сохранялись энергия и импульс. Полная энергия и импульс после события должны быть такими же, как и перед событием. Во-вторых, существует закон сохранения электрического заряда, утверждающий, что полный заряд выходящих частиц обязан равняться полному заряду, внесенному начальными частицами. В нашем примере столкновения К-ыезона. и протона действительно происходят такие реакции:

И никогда из-за несохранения заряда не идут реакции

Было также известно, что количество барионов сохраняется. Количество выходящих барионов должно быть равно количе­ству входящих. В этом законе античастица бариона счита­ется за минус один барион. Это значит, что мы можем ви­деть — и видим — реакции

(где — это антипротон, несущий отрицательный заряд). Но мы никогда не увидим

(даже если энергия очень-очень большая), потому что число ба­рионов здесь не сохранялось бы.

Эти законы, однако, не объясняют того странного факта, что нижеследующие реакции, которые с виду не особенно отли­чаются от кое-каких приведенных в (9.38) или (9.40), тоже никогда не наблюдались:

Объяснением служит сохранение странности. За каждой части­цей следует число — ее странность S, и имеется закон, что в любом сильном взаимодействии полная странность на выходе должна равняться полной странности на входе. Протон и анти­протон (), нейтрон и антинейтрон () и p-мезоны (p+, p0, p-) — все имеют странность нуль; у К+- и K 0-мезонов странность равна +1;у К- и (анти-К 0), у L0- и S-частиц (2S+, S0, S-) странность равна -1. Существует также частица со странностью - 2 ( -частица), а может быть, и другие, пока неизвестные. Перечень этих странностей приведен в табл. 9.4.

Таблица 9.4 • СТРАННОСТИ СИЛЬНО ВЗАИМОДЕЙСТВУЮЩИХ ЧАСТИЦ

Посмотрим, как действует сохранение странности в некото­рых написанных реакциях. Если мы исходим из К- и протона, то их суммарная странность равна (-1)+0 =-1. Сохранение странности утверждает, что странности продуктов реакции после сложения тоже должны дать -1. Вы видите, что в реак­циях (9.38) и (9.40) это действительно так. Но в реакциях (9.42) странность справа во всех случаях есть нуль. В них странность не сохраняется, и они не происходят. Почему? Это никому не известно. Никому не известно что-либо сверх того, что мы только что рассказали. Просто природа так действует — и все.

Давайте теперь взглянем на такую реакцию: p-попадает в протон. Вы можете, например, получить L0-частицу плюс нейтральный K -мезон две нейтральные частицы. Какой же из нейтральных K -мезонов вы получите? Раз у L-частицы странность -1, а у p- и p+ странность нуль и поскольку перед нами быстрая реакция рождения, то странность измениться не должна. Вот K -частица и должна обладать странностью +1,—и быть по­этому К 0. Реакция имеет вид

причем

(сохраняется).

Если бы здесь вместо К 0стояло К°, то странность справа была бы -2, чего природа не позволит, ведь слева странность нуль.

С другой стороны, К° может возникать в других реакциях:

где

или

где

Вы можете подумать: «Не слишком ли много разговоров. Как узнать, это или K 0? Выглядят-то они одинаково. Они античастицы друг друга, значит, массы их одинаковы, заряды у обеих равны нулю. Как вы их различите?» По реакциям, которые они вызывают. Например, -мезон может взаимодей­ствовать с веществом, создавая L-частицу, скажем, так:

а K 0-мезон не может. У К 0 нет способа создать L-частицу, вза­имодействуя с обычным веществом (протонами и нейтронами). Значит, экспериментальное отличие между К 0 - и -мезонами состояло бы в том, что один из них создает L-частицу, а другой— нет.

Одно из предсказаний теории странности тогда заключалось бы в следующем: если в опыте с пионами высокой энергии L-частица возникает вместе с нейтральным K -мезоном, тогда этот нейтральный K -мезон, попадая в другие массивы вещества, никогда не создаст L-частицы. Опыт мог бы протекать таким образом. Вы посылаете пучок p--мезонов в большую водород­ную пузырьковую камеру. След p- исчезает, но где-то в стороне появляется пара следов (протона и p- -мезона), указывающая на то, что распалась L-частица (фиг. 9.5). Тогда вы знаете, что где-то есть K 0-мезон, который вам не виден.

Но вы можете представить, куда он направился, применяя сохранение импульса и энергии. (Он затем иногда раскрывает свое местоположение, распадаясь на пару заряженных частиц, как показано на фиг. 9.5, а.)

Когда К 0-мезон летит в веществе, он может провзаимодействовать с одним из ядер водорода (про­тонов), создав при этом, быть может, еще какие-то частицы.

Предсказание теории странности состоит в том, что K 0-мезон никогда не породит L-частицу в простой реакции, скажем, такого типа

 

хотя -мезон это может сделать. Иначе говоря, в пузырько­вой камере -мезон мог бы вызвать событие, показанное на фиг. 9.5, б, где L0-частицу из-за распада можно заметить, а К 0-мезон не смог бы. Это первая часть рассказа. Это и есть со­хранение странности.

Странность, впрочем, сохраняется не совсем. Существуют очень медленные распады странных частиц — распады, происхо­дящие за большое время — порядка 10-10 сек, в которых странность не сохраняется. Их называют «слабые» распады. Напри­мер, K 0-мезон распадается на пару p-мезонов (+ и -) со време­нем жизни 10-10 сек. Именно так на самом деле впервые были замечены K -частицы. Обратите внимание, что распадная реак­ция

не сохраняет странности, так что «быстро», путем сильного взаимодействия, она идти не может. Может она идти только через слабый распадный процесс.

Далее, -мезон также распадается таким же путем (на p+ и p-) и тоже с таким же самым временем жизни:

Здесь опять идет слабый распад, потому что он не сохраняет странности. Существует принцип, по которому для всякой реакции всегда найдется соответствующая реакция, в которой «материя» заменяется «антиматерией» и наоборот. Раз — это античастица К 0, она обязана распадаться на античастицы p+ и p-, но античастица p + есть p-. (Или, если вам угодно, наоборот. Оказывается, что для p-мезонов неважно, кого из них назовут «материей», их эта материя совсем не интересует.) Итак, как следствие слабых распадов К 0 - и -мезоны могут превращаться в одинаковые конечные продукты. Если «видеть» их по их распадам (как в пузырьковой камере), то выглядят они, как совершенно одинаковые частицы. Отличаются только их сильные взаимодействия.

Теперь наконец-то мы доросли до того, чтобы описать ра­боту Гелл-Манна и Пайса. Во-первых, они отметили, что раз К 0 и оба могут превращаться в два p-мезонов, то должна также существовать некоторая амплитуда того, что К 0может превра­титься в К 0, и такая же амплитуда того, что превратится в К 0. Реакцию можно записать так, как это делают химики:

Из существования таких реакций следует, что есть амп­литуда, которую мы обозначим через , пре­вращения К 0в , обусловленная тем самым слабым взаимо­действием, с которым связан распад на два p-мезона. Ясно, что есть и амплитуда обратного процесса . Так как материя и антиматерия ведут себя одинаково, то эти две амплитуды численно равны между собой; мы обозначим их через А:

И вот, сказали Гелл-Манн и Пайс, здесь возникает интерес­ная ситуация. То, что люди назвали двумя разными состояниями мира 0и ), на самом деле следует рассматривать как одну систему с двумя состояниями, потому что имеется амплитуда перехода из одного состояния в другое. Для полноты рассужде­ний следовало бы, конечно, рассмотреть не два состояния, а больше, потому что существуют еще состояния 2л и т. д.; но поскольку наши физики интересовались главным образом связью К 0 с , то они не захотели усложнять положения и представили его приближенно в виде системы с двумя состоя­ниями. Другие состояния были учтены в той мере, в какой их влияние неявно скажется на амплитудах (9.44).

В соответствии с этим Гелл-Манн и Пайс анализировали нейтральную частицу как систему с двумя состояниями. Начали они с того, что выбрали состояния | К 0> и | > за базисные состояния. (С этого места весь рассказ становится очень похо­жим на то, что было для молекулы аммиака.) Всякое состояние |y> нейтрального K -мезона можно тогда описать, задав ампли­туды того, что оно окажется в одном из базисных состояний. Обозначим эти амплитуды

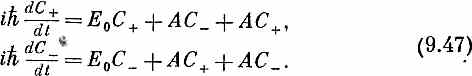
Следующим шагом мы должны написать уравнение Гамиль­тона для такой системы с двумя состояниями. Если бы К 0и не были бы связаны между собой, то уравнения выглядели бы просто

Однако есть еще амплитуда

перехода К 0в ; поэтому в правую часть первого уравнения надо еще добавить слагаемое

Аналогичное слагаемое АС + надо добавить и в уравнение, опре­деляющее скорость изменения С _. Но это еще не все! Если уж мы учитываем двухпионный эффект, то надо учесть и то, что существует еще дополнительная амплитуда превращения К 0 в самого себя по цепочке

Эта дополнительная амплитуда (обозначим ее )в точности равна амплитуде

, так как амплитуды перехода в пару p-мезонов или от пары p-мезонов в К 0или одни и те же.

Если угодно, можно показать это и подробнее. Прежде всего напишем

Симметрия между материей и антиматерией требует, чтобы

а также

Отсюда

а также

очем мы уже говорили выше.

Итак, у нас есть две дополнительные амплитуды и

, обе равные А, которые надо вставить в урав­нения Гамильтона. Первая приводит к слагаемому АС+ в правой части уравнения для dC+/dt, а вторая — к слагаемому АС- в правой части уравнения для dC-/dt. Рассуждая именно так, Гелл-Манн и Пайс пришли к заключению, что уравне­ния Гамильтона для системы должны иметь вид

Теперь надо сделать поправку к сказанному в прежних гла­вах: к тому, что две амплитуды, такие, как и , выражающие обратные друг к другу процессы, всегда комплексно сопряжены. Это было бы верно, если бы мы говорили о частицах, которые не распадаются. Но если частицы могут распадаться, а поэтому «пропадать», то амплитуды не обязательно комплексно сопряжены. Значит, равенство (9.44)

не означает, что наши амплитуды суть действительные числа. На самом деле они суть комплексные числа. Поэтому коэффи­циент А комплексный и его нельзя просто включить в энер­гию Е 0.

Часто, возясь со спинами электронов и тому подобными веща­ми, наши герои знали: такие уравнения означают, что имеется другая пара базисных состояний с особенно простым поведением, которые также пригодны для представления системы. K -частиц. Они рассуждали так: «Возьмем теперь сумму и разность этих двух уравнений. Будем отсчитывать все энергии от Е 0и возьмем для энергии и времени такие единицы, при которых h=1». (Так всегда поступают современные теоретики. Это не меняет, конеч­но, физики, но уравнения выглядят проще.) В результате они получили

откуда ясно, что комбинации амплитуд С+- и С+- действуют друг от друга независимо (и отвечают стационарным состояниям, которые мы раньше изучали). Они заключили, что удобнее было бы для K -частиц употреблять другое представле­ние, Они определили два состояния:

и сказали, что вместо того, чтобы думать о -мезонах, с равным успехом можно рассуждать на языке двух «частиц» (т. е. «состояний») К 1и К 2. (Они, конечно, соответствуют состоя­ниям, которые мы обычно называли | I > и | II >. Мы не поль­зуемся нашими старыми обозначениями, потому что хотим следовать обозначениям самих авторов, тем, которые вы встре­тите на физических семинарах.)

Но Гелл-Манн и Пайс проделывали все это не для того, чтобы давать частицам новые названия; во всем этом имеется еще некоторая весьма странная физика. Пусть C 1и С2 суть амплитуды того, что некоторое состояние |y> окажется либо k 1 -, либо K 2-мезоном:

Из уравнений (9.49)

Тогда (9.48) превращается в

 

Их решения имеют вид

где С 1(0) и С 2(0) — амплитуды при t= 0.

Эти уравнения говорят, что если нейтральный K -мезон при t= 0 находится в состоянии | К 1> [так что С 1(0)=1 и

С2(0)=0], то амплитуды в момент t таковы:

Вспоминая, что А — комплексное число, удобно положить

(так как мнимая часть оказывается отрицательной, мы пишем ее как минус ib). После такой подстановки С 1(t) принимает вид

Вероятность обнаружить в момент t частицу К 1равна квадрату модуля этой амплитуды, т. е. e-2bt. А из (9.52) следует, что ве­роятность обнаружить в любой момент состояние K 2равна нулю. Это значит, что если вы создаете К -мезон в состоянии | К 1>, то вероятность найти его в том же состоянии со временем экспо­ненциально падает, но вы никогда не увидите его в состоянии | К 2>. Куда же он девается? Он распадается на два p-мезона со средним временем жизни t=1/2b, экспериментально равным 10-10 сек. Мы предусмотрели это, говоря, что А комплексное.

С другой стороны, (9.52) утверждают, что если создать. K -мезон целиком в состоянии К 2, он останется в нем навсегда. На самом-то деле это не так. На опыте замечено, что он распа­дается на три p-мезона, но в 600 раз медленнее, чем при описан­ном нами двухпионном распаде. Значит, имеются какие-то другие малые члены, которыми мы в нашем приближении пренебрегли. Но до тех пор, пока мы рассматриваем только двухпионные распады, К 2остается «навсегда».

Рассказ о Гелл-Манне и Пайсе близится к концу. Дальше они посмотрели, что будет, когда K -мезон образуется вместе с L 0 -частицей в сильном взаимодействии. Раз его странность должна быть +1, он обязан возникать в состоянии К 0, Значит, при t =0 он не является ни К 1, ни К 2, а их смесью. Начальные условия таковы:

Но это означает [из (9.50)], что

а из (9.52) следует, что

Теперь вспомним, что K 1 и К 2суть линейные комбинации К 0и К°. В (9.54) амплитуды были выбраны так, что при t =0 части,

из которых состоит , взаимно уничтожаются за счет интер­ференции, оставляя только состояние К 0. Но состояние | К 1> со временем меняется, а состояние | К 2> — нет. После t= 0 интерференция С 1и С 2 приведет к конечным амплитудам и для К 0, и для .

Что же все это значит? Возвратимся назад и подумаем об опыте, показанном на фиг. 9.5. Там p--мезон образовал L0-частицу и K 0-мезон, который летит без оглядки сквозь водород камеры. Когда он движется, существует ничтожный, но постоянный шанс, что он столкнется с ядром водорода. Раньше мы думали, что сохранение странности предохранит K-мезон от образования L0-частицы в таком взаимодействии. Теперь, однако, мы понимаем, что это не так. Потому что, хотя наш К-мезон вначале является К 0-мезоном, неспособным к рож­дению L°-частицы, он не остается им навечно. Через мгнове­ние появляется некоторая амплитуда того, что он перейдет в состояние . Значит, следует ожидать, что иногда мы увидим L0-частицу, образованную вдоль следа K -мезона. Вероятность такого происшествия дается амплитудой С-, которую можно [решая (9.50)] связать с С 1и С 2. Связь эта такова:

И когда K -частица движется, вероятность того, что она будет «действовать как» , равна | С- |2, т. е.

Сложный и поразительный результат!

Это и есть замечательное предсказание Гелл-Манна и Пайса: когда возникает K 0-мезон, то шанс, что он превратится в - мезон, продемонстрировав это возможностью создания L0-частицы, меняется со временем по закону (9.56). Это предсказание последовало только из чистейших логических рассуждений и из основных принципов квантовой механики без знания внутрен­них механизмов K -частицы. И поскольку никто не знает ничего об этом внутреннем механизме, то дальше этого Гелл-Манн и Пайс не смогли продвинуться. Им не удалось дать теоретических значений a и b. И никто до сегодняшнего дня не смог это сделать. Им было по силам оценить значение b из экспериментально на­блюдаемой скорости распада на два p-мезона (2b=1,1•1010 сек -1), но про a они ничего не смогли сказать.

Мы изобразили функцию (9.56) для двух значений a на фиг. 9.6.

Видно, что форма ее сильно зависит от отношения a и b. Наблюдать -мезон сперва нет никакой вероятности, но затем она появляется. Если значение a велико, вероятность сильно осциллирует; если оно мало, осцилляции невелики или вовсе отсутствуют, вероятность просто плавно возрастает до 1/4.

Как правило, K -мезоны движутся с постоянной скоростью, близкой к скорости света. Тогда кривые фиг. 9.6 также пред­ставляют вероятность наблюдения -мезона вдоль следа с ти­пичными расстояниями порядка нескольких сантиметров. Те­перь вы видите, отчего это предсказание так удивительно свое­образно. Вы создаете отдельную частицу, и она не просто рас­падается, а проделывает нечто совсем иное. Временами она распадается, а порой превращается в частицу другого сорта. Характеристическая вероятность этого эффекта по мере ее дви­жения меняется очень странно. Ничего другого, похожего на это, в природе нет. И это удивительнейшее предсказание было сделано только на основе рассуждений об интерференции амплитуд.

Если и существует какое-то место, где есть шанс проверить главные принципы квантовой механики самым прямым обра­зом — бывает ли суперпозиция амплитуд или не бывает,— то оно именно здесь. Несмотря на то что этот эффект был предска­зан уже несколько лет тому назад, до сих пор достаточно ясного опытного определения еще не было. Имеются некоторые грубые результаты, указывающие, что значение a не равно нулю и что эффект действительно наблюдается: они свидетельствуют, что a по порядку величины равно b. И это все, что мы знаем из эксперимента. Было бы замечательно, если бы удалось точно проверить и посмотреть, действительно ли работает принцип суперпозиции в этом таинственном мире странных частиц — с неизвестными поводами для распадов и неизвестным поводом существования странности.

Анализ, который мы только что привели,— характерный пример того, как сегодня используется квантовая механика, чтобы разгадать странные частицы. Во всех сложных теориях, о которых вы, быть может, слышали, нет ничего сверх этого элементарного фокуса, использующего принципы суперпозиции и другие принципы квантовой механики того же уровня. Неко­торые утверждают, что у них есть теории, с помощью которых можно подсчитать b и a или по крайней мере a при данном b. Но эти теории совершенно бесполезны. Например, теория, предсказывающая значение а при данном b, говорит, что a должно быть бесконечным. Система уравнений, из которой они исходят, включает два p-мезона и затем возвращается от двух p-мезонов обратно к K 0-мезону и т. д. Если все выкладки про­делать, то действительно возникает пара уравнений, похожих на те, что у нас получались, но, поскольку у двух p-мезонов имеется бесконечно много состояний, зависящих от их импуль­сов, интегрирование по всем возможностям приводит к a, рав­ному бесконечности. А природное a не бесконечно. Значит, динамические теории неверны. На самом деле чрезвычайно поразительно, что единственные явления, которые могут быть в мире странных частиц предсказаны, вытекают из принципов квантовой механики на том уровне, на котором вы их сейчас изучаете.




Поделиться с друзьями:


Дата добавления: 2015-06-04; Просмотров: 1404; Нарушение авторских прав?; Мы поможем в написании вашей работы!


Нам важно ваше мнение! Был ли полезен опубликованный материал? Да | Нет



studopedia.su - Студопедия (2013 - 2025) год. Все материалы представленные на сайте исключительно с целью ознакомления читателями и не преследуют коммерческих целей или нарушение авторских прав! Последнее добавление




Генерация страницы за: 0.013 сек.