Студопедия

КАТЕГОРИИ:


Архитектура-(3434)Астрономия-(809)Биология-(7483)Биотехнологии-(1457)Военное дело-(14632)Высокие технологии-(1363)География-(913)Геология-(1438)Государство-(451)Демография-(1065)Дом-(47672)Журналистика и СМИ-(912)Изобретательство-(14524)Иностранные языки-(4268)Информатика-(17799)Искусство-(1338)История-(13644)Компьютеры-(11121)Косметика-(55)Кулинария-(373)Культура-(8427)Лингвистика-(374)Литература-(1642)Маркетинг-(23702)Математика-(16968)Машиностроение-(1700)Медицина-(12668)Менеджмент-(24684)Механика-(15423)Науковедение-(506)Образование-(11852)Охрана труда-(3308)Педагогика-(5571)Полиграфия-(1312)Политика-(7869)Право-(5454)Приборостроение-(1369)Программирование-(2801)Производство-(97182)Промышленность-(8706)Психология-(18388)Религия-(3217)Связь-(10668)Сельское хозяйство-(299)Социология-(6455)Спорт-(42831)Строительство-(4793)Торговля-(5050)Транспорт-(2929)Туризм-(1568)Физика-(3942)Философия-(17015)Финансы-(26596)Химия-(22929)Экология-(12095)Экономика-(9961)Электроника-(8441)Электротехника-(4623)Энергетика-(12629)Юриспруденция-(1492)Ядерная техника-(1748)

Электроемкостные топливомеры




Погрешности поплавковых топливомеров. Особенности эксплуатации

 

Погрешности электрических поплавковых топливомеров складывают­ся из следующих составляющих: погрешностей, являющихся следствием продольных и поперечных крепов и ускорений самолета; погрешностей, возникающих при неточной установке топливных баков и отклонений их размеров от полученных при расчете и тарировке; температурных погреш­ностей, вызванных изменением температуры топлива в баке и сменой сорта топлива; температурных погрешностей, появляющихся из-за изменения магнитных характеристик и электрических параметров при изменении тем­пературы окружающей среды; погрешностей, возникающих из-за изменения напряжения источника питания. Другие погрешности топливомеров являются общими для всех приборов. Методические погрешности могут быть компен­сированы за счет введения в схему топливомера дополнительных чувстви­тельных элементов, реагирующих на изменение плотности и диэлектриче­ской проницаемости топлива, на крены и ускорения самолета.

Инструментальные погрешности, возникающие из-за изменения темпе­ратуры, компенсируются подбором параметров схемы. Основная инструмен­тальная погрешность поплавковых топливомеров составляет до ±2ч3% на пулевой отметке и ±3,5ч5 % на остальных отметках шкалы.

В процессе эксплуатации датчиков поплавковых топливомеров необхо­димо следить за герметичностью места фланцевого крепления датчика в баке и сильфона, за герметичностью металлических поплавков. При монтаже не допускаются изгибы рычагов и перекосы корпуса датчика. Характерными неисправностями поплавкового топливомера, работающего в комплекте с логометром, являются обрывы потенциометров датчиков или соединительных проводов, что приводит к биению стрелки об упор на конце шка­лы.

 

 

Электроемкостные топливомеры получили более широкое распростра­нение на ЛА, чем поплавковые топливомеры, так как они обладают рядом преимуществ: не имеют подвижных частей датчиков, их легко устанавливать в баках сложной конфигурации, точность измерения количества топлива в баках этими топливомерами выше.

Принцип действия электроемкостного топливомера основан на измере­нии емкости специального конденсатора, зависящей от уровня, а следова­тельно от объема и массы топлива в баке. Так как диэлектрическая прони­цаемость топлива отличается от диэлектрической проницаемости воздуха, то при изменении уровня топлива будет меняться и емкость конденсатора.

Известно, что емкость конденсатора определяется формулой:

, (4.1)

где: e- диэлектрическая постоянная среды; S- площадь обкладок конденса­тора; п - число пластин (обкладок); d - расстояние между пластинами.

Если поместить конденсатор в топливный бак в качестве датчика, то по мере выработки топлива его емкость будет уменьшаться. Таким обра­зом, чувствительным элементом емкостного топливомера является ци­линдрический конденсатор, обкладками которого служат внутренний и внешний металлические цилиндры диаметром d1 и d2 соответственно. Между этими цилиндрами находится слой топлива, уровень которого не­обходимо измерить (см. рис. 4.5).

Определим зависимость емкости конденсатора от уровня топлива x.

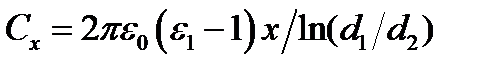
Если пренебречь толщиной стенок цилиндров, то емкость нижней час­ти датчика, погруженной в топливо:

, (4.2)

где - электрическая постоянная; e1 - относительная ди­электрическая проницаемость топлива; х - высота уровня топлива.

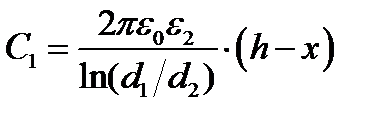
Емкость верхней части датчика

, (4.3)

где h — высота труб, равная максимальному уровню топлива; e2=1 диэлектрическая проницаемость воздуха.

Полная емкость датчика составит

, (4.4)

или

, (4.5)

Где - емкость сухого датчика (при. x = 0);

- составляющая емкости, пропорциональная уровню топлива. Как видно, С является линейной функцией уровня топлива x, так что измерение уровня можно свести к измерению емкости конденсато­ра. Для большей чувствительности (увеличения емкости) датчики собирают из нескольких труб, образующих параллельно соединенные конденсаторы.

Измерение емкости Сх датчика производится с помощью самоуравновешивающегося моста переменного тока, состоящего из конденсаторов Сх (емкость датчика), С1 (эталонная емкость), резисторов R1 R2 и потенцио­метра обратной связи Roc (рис. 4.5). При установившемся значении емкости Сх мост уравновешен. При изменении уровня топлива емкость датчика Сх изменится, и в диагонали моста появится напряжение, которое подастся на вход усилителя, а после усиления поступает на управляющие обмотки дви­гателя М. Двигатель через редуктор перемещает щетку потенциометра Roc уравновешивая мост. Одновременно перемещается стрелка, которая по шкале Q покажет измеренное количество топлива в объемных (литрах) или в массовых (килограммах) единицах.

Как при объемной, так и при массовой градуировке шкала указателя будет равномерной лишь в случаях, когда площадь поперечного сечения бака постоянна по его высоте. Если же площадь сечения переменна, то для полу­чения равномерной шкалы, необходимо профилировать емкостные датчики. Для этого в их цилиндрических трубах делают разрезы определенной формы, чтобы емкость датчика была пропорциональна не уровню, а объему топлива (рис. 4.6,б). В других случаях профилирование осуществляется изменением диаметра одном из труб (рис. 4.6,в). Требуемый закон профилирования опре­деляется графическим путем. В зависимости от требуемой начальной емко­сти и высоты датчика количество труб в нем может быть от 3 до 6.

На рис. 4.7 показаны два емкостных датчика различных конструкций. В одной конструкции (рис. 4.7, а) все трубы (1, 3, 4) датчика крепятся к одному изоляционному основанию 2, а для обеспечения зазора (не менее 1,5 мм) ме­жду каждой парой труб устанавливаются изоляционные вкладыши 5. В другой конструкции (рис. 4.7, б) электроды 3, 4 конденсатора крепятся с помо­щью изоляторов 2 к электроду 1. В таком датчике отсутствуют изоляторы между основными (3, 4) электродами и датчик называется трехэлектродным или с разделенными утечками. Емкость между основными электродами обеих датчиков меняется по одним и тем же законам.

 

Рис. 4.5. Принципиальная схема электроемкостного топливомера

 

Рис. 4.6. Профилированный емкостный датчик: а – с изменением поверхности трубы; б – с изменением диаметра трубы Рис. 4.7. Крепление труб емкостного датчика: а –к одному основанию; б – к заземленному электроду

 

Рис. 4.8. Принцип работы датчика-сигнализатора (а),принципиальная элек­трическая схема индуктивного измерительного моста (б)

 




Поделиться с друзьями:


Дата добавления: 2014-11-08; Просмотров: 4151; Нарушение авторских прав?; Мы поможем в написании вашей работы!


Нам важно ваше мнение! Был ли полезен опубликованный материал? Да | Нет



studopedia.su - Студопедия (2013 - 2025) год. Все материалы представленные на сайте исключительно с целью ознакомления читателями и не преследуют коммерческих целей или нарушение авторских прав! Последнее добавление




Генерация страницы за: 0.008 сек.