Студопедия

КАТЕГОРИИ:


Архитектура-(3434)Астрономия-(809)Биология-(7483)Биотехнологии-(1457)Военное дело-(14632)Высокие технологии-(1363)География-(913)Геология-(1438)Государство-(451)Демография-(1065)Дом-(47672)Журналистика и СМИ-(912)Изобретательство-(14524)Иностранные языки-(4268)Информатика-(17799)Искусство-(1338)История-(13644)Компьютеры-(11121)Косметика-(55)Кулинария-(373)Культура-(8427)Лингвистика-(374)Литература-(1642)Маркетинг-(23702)Математика-(16968)Машиностроение-(1700)Медицина-(12668)Менеджмент-(24684)Механика-(15423)Науковедение-(506)Образование-(11852)Охрана труда-(3308)Педагогика-(5571)Полиграфия-(1312)Политика-(7869)Право-(5454)Приборостроение-(1369)Программирование-(2801)Производство-(97182)Промышленность-(8706)Психология-(18388)Религия-(3217)Связь-(10668)Сельское хозяйство-(299)Социология-(6455)Спорт-(42831)Строительство-(4793)Торговля-(5050)Транспорт-(2929)Туризм-(1568)Физика-(3942)Философия-(17015)Финансы-(26596)Химия-(22929)Экология-(12095)Экономика-(9961)Электроника-(8441)Электротехника-(4623)Энергетика-(12629)Юриспруденция-(1492)Ядерная техника-(1748)

Вывод формулы Планка по Энштейну., 1916г




Квантовой теории.

Испускание и поглощение излучения по

 

Энштейн опирался на постулаты Бора, и кроме того, постулировал наличие вынужденного или индуцированного излучения.

 

Постулаты Бора:

1) Атом (электрон атома) может находиться только в определенных энергитических состояниях , называемых стационарными. При этом атом не испускает и не поглощает свет.

2) Испускание и поглощение излучения происходит при переходе атома из одного стационарного состояния в другое.

Существует три вида взаимодействия излучения с веществом. Рассмотрим систему, состоящую из двух уровней энергии . Пусть эта система находится в ЭМП (электромагнитном поле) с объемной плотностью излучения .

1) Спонтанное испускание излучения – самопроизвольный ни от чего независящий случайный процесс перехода атома из состояния с более высокой энергией в состояние с более низкой .

 

Вероятность этого процесса определяется выражением:

где – коффициент Энштейна.

2) Вынужденное поглощение излучения

 

 

– коэффициент Энштейна для вынужденного поглощения, которое является лучевым процессом.

3) Вынужденное испускание

 

 

Первый фотон индуцирующий (первичный)

Второй фотон индуцированный (вторичный)

Первичный и вторичный фотоны полностью идентичны друг другу, эти фотоны образуют когерентную волну.

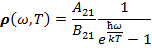
, , – коэффициенты Энштейна, не зависящие от внешних условий (температура, давление и т.д.), характеризуют конкретный квантовый переход.

Рассмотрим случай термодинамического равновесия между системой атомов и ЭМ излучением.

– заселенности уровней 1 и 2, т.е. количество атомов в единице объема, имеющих энергии соответственно. При термодинамическом равновесии определяются распределением Больцмана, которое имеет вид:

– cтатистический вес уровня или кратность вырождения, т.е. число различных состояний атома, в которых его энергия одна и та же и равна

 

 

 

В состоянии термодинамического равновесия число прямых процессов в единицу времени должно быть равно числу обратных процессов.

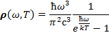
Рассмотрим случай очень больших температур:

С точностью до статистических весов коэффициенты Энштейна для вынужденного испускания и поглощения совпадают. А т.к. они не зависят от T – это выполняется всегда, а не только в рассмотренном случае.

В случае малых частот или высоких температур:

Если пренебречь вынужденным испусканием, то:

Частная формула Винна:

Рассмотрим радиационный распад уровня, т.е. только процесс спонтанного излучения в отсутствии внешнего поля.

убыль заселенности второго уровня.

- для большинства атомных уровней, такие уровни уширены.

Также существуют метастабильные или долгоживущие уровни:

 

 




Поделиться с друзьями:


Дата добавления: 2014-11-20; Просмотров: 585; Нарушение авторских прав?; Мы поможем в написании вашей работы!


Нам важно ваше мнение! Был ли полезен опубликованный материал? Да | Нет



studopedia.su - Студопедия (2013 - 2026) год. Все материалы представленные на сайте исключительно с целью ознакомления читателями и не преследуют коммерческих целей или нарушение авторских прав! Последнее добавление




Генерация страницы за: 0.007 сек.