Студопедия

КАТЕГОРИИ:


Архитектура-(3434)Астрономия-(809)Биология-(7483)Биотехнологии-(1457)Военное дело-(14632)Высокие технологии-(1363)География-(913)Геология-(1438)Государство-(451)Демография-(1065)Дом-(47672)Журналистика и СМИ-(912)Изобретательство-(14524)Иностранные языки-(4268)Информатика-(17799)Искусство-(1338)История-(13644)Компьютеры-(11121)Косметика-(55)Кулинария-(373)Культура-(8427)Лингвистика-(374)Литература-(1642)Маркетинг-(23702)Математика-(16968)Машиностроение-(1700)Медицина-(12668)Менеджмент-(24684)Механика-(15423)Науковедение-(506)Образование-(11852)Охрана труда-(3308)Педагогика-(5571)Полиграфия-(1312)Политика-(7869)Право-(5454)Приборостроение-(1369)Программирование-(2801)Производство-(97182)Промышленность-(8706)Психология-(18388)Религия-(3217)Связь-(10668)Сельское хозяйство-(299)Социология-(6455)Спорт-(42831)Строительство-(4793)Торговля-(5050)Транспорт-(2929)Туризм-(1568)Физика-(3942)Философия-(17015)Финансы-(26596)Химия-(22929)Экология-(12095)Экономика-(9961)Электроника-(8441)Электротехника-(4623)Энергетика-(12629)Юриспруденция-(1492)Ядерная техника-(1748)

Для городов различных категорий




Рациональная плотность транспортной сети

Город с населением, тыс. чел. Уровень качества
образцовый хороший удовлетворительный неудовлетворительный
более 1000 2,8 2,5 2,2 2,0
500-1000 2,5 2,3 2,1 1,9
250-500 2,4 2,2 2,0 1,8
100-250 2,3 2,1 1,9 1,7
50-100 2,2 2,0 1,8 1,6
менее 50 1,6 1,4 1,2 1,0

 

Избыточная плотность транспортной сети приводит к увеличению числа задержек на перекрестках и следовательно увеличению времени поездки пассажира. Низкая плотность транспортной сети приводит к увеличению времени подхода к остановкам.

Оптимальной плотностью транспортной сети будет такая, при которой пассажиры затрачивают минимальное время на передвижение.

Пропускная способность транспортной сети

Пропускная способность транспортной линии – это число единиц подвижного состава, которое может пропустить транспортная линия в одном направлении в единицу времени.

Пропускная способность транспортной линии зависит от:

- частоты расположения транспортных узлов,

- пропускной способности транспортных узлов,

- пропускной способности остановочных пунктов (ОП),

- организации движения в целом на всей улично-дорожной сети.

Пропускная способность транспортных узлов зависит от многих фактов. А именно: от числа пересекающихся направлений, интенсивности и состава транспортных потоков по отдельным направлениям, конфигурации узлов пересечения, системы организации и регулирования движения, интенсивности пешеходного движения.

Пропускная способность ОП зависит главным образом от пассажирообмена ОП и типа подвижного состава, проходящего через ОП.

При расчёте пропускной способности одним из основных определяющих факторов является пропускная способность остановочных пунктов. Поэтому при расчёте пропускной способности транспортных линий прежде всего оценивают пропускную способность ОП, а далее проверяют сложность транспортных узлов и пересечений.

Наибольшую пропускную способность имеет прямоугольная схема ТС, т. к. в ней отсутствуют сложные узлы пересечения, а сами узлы пересечения равномерно распределены на территории города.

Наименьшую пропускную способность имеет радиальная схема ТС т. к. при данной схеме все радиусы пересекаются в центре города, образуя сложный узел пересечений с большой интенсивностью движения. На проход таких транспортных узлов затрачивается много времени.

Радиально-кольцевая схема ТС по пропускной способности занимает промежуточное значение между прямоугольной и радиальной.

В комбинированной схеме ТС многое зависит от того, на сколько удачно сочетаются отдельные элементы составляющих её частей. Пропускная способность данной схемы ТС приближается к пропускной способности прямоугольной схемы.

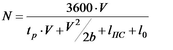
Теоретическую пропускную способность транспортной линии (т.е. такая пропускная способность, которая была бы возможна при движении непрерывном потоком без остановок) в одном направлении или полосы проезжей части определяют по формуле:

 

, (12)

 

где N – число единиц ПС пропускаемое за час в одном направлении; v – скорость движения на перегоне, м/с; tp – время реакции водителя, с (составляет порядка 0,5-2,0 с); b – замедление при экстренном торможении, м/с2 (составляет порядка 1,0-3,0 м/с2); lПС – длина ПС, м; l0 – дистанция безопасности (промежуток безопасности между следующими друг за другом транспортными единицами, может принято на уровне 5-10м), м.

При движении однородных транспортных единиц на многополосной проезжей части пропускная способность каждой из последующих полос уменьшается на 20-40% по сравнению с расчетной пропускной способностью первой полосы.

При определении фактической пропускной способности необходимо учитывать ряд факторов, влияющих на пропускную способность транспортной линии:

- число остановочных пунктов;

- количество пересечений в одном уровне с другими линиями;

- тип дорожного покрытия и его состояние;

- характер продольного профиля дороги (наличие крутых спусков и подъемов) и т. д.

Влияние этих факторов на пропускную способность транспортной линии не всегда поддается точному учету. Поэтому расчеты пропускной способности для реальных условий носят приближенный характер. Большое влия­ние на пропускную способность линии оказывает время про­стоя транспортных средств на остановочных пунктах, перекрестках и в узлах пересечений.

Для экспрессного безрельсового транспорта, движу­щегося в общем уличном потоке, пропускная способ­ность между остановочными пунктами всегда значитель­но ниже, чем теоретическая пропускная способность полосы движения. Это обстоятельство связано с необхо­димостью выполнять маневры при выходе с остановоч­ных пунктов и входе на них, а также с объездом стоя­щих вдоль тротуара транспортных средств.

Пропускную способность остановочного пункта маршрутного транспорта определяют исходя из продолжительности занятия пункта транспортной единицей:

 

, (13)

 

где – общая продолжительность занятия транспортной единицей ОП.

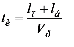
В свою очередь , (14)

где - время на маневрирование при подъезде к ОП:

 

, (15)

 

где - дистанция безопасности (промежуток безопасности между транспортными единицами при подходе к остановке, обычно принимается равным длине транспортной единицы);

t 2 – время на посадку и высадку пассажиров:

 

, (16)

 

где D - коэффициент характеризующий какую часть от номинальной вместимости составляют входящие и сходящие пассажиры; q - вместимость; - время на посадку (высадку) одного пассажира, с (для автобуса и троллейбуса и трамвая находится на уровне 0,9-1,4 с; для метро – 0,6-0,7 с); n Д – число дверей; e - коэффициент неравномерности использования дверей подвижного состава (зависит от числа дверей, для сочлененных автобусов, троллейбусов и трамваев он составляет 0,8-0,9; для поездов метрополитена 0,4-0,6);

t 3 – время на подачу сигнала отправления и закрытие дверей (на основе натурных обследований составляет порядка 3 сек.);

t 4 – время на маневрирование при освобождении ОП:

 

. (17)

 

где а – ускорение движения при трогании с места, м/с2.

Следовательно, величина пропускной способности ОП зависит от состава подходящего потока пассажирского транспорта и вместимости ТС.

Если ОП является сдвоенным или строенным, а в некоторых случаях ОП объединяет четыре ОП, то общая пропускная способность таких объединенных ОП меньше, чем пропускная способность суммы одиночных ОП. Для сдвоенных ОП она составляет порядка 80%, а для строенных 70% от суммарной пропускной способности.

Пропускная способность магистралей определяется пропускной способностью её элементов, имеющих самый низкий данный показатель. К таким элементам относятся ОП, перекрестки, пешеходные переходы, места, где разрешена уличная стоянка автотранспортных средств. Самыми "напряженным" из перечисленных элементов являются ОП и перекрестки, поэтому пропускная способность магистралей определяется главным образом пропускной способностью именно этих элементов.

Пропускная способность регулируемых светофорами перекрестков.

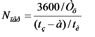
Наряду с ОП критическими точками транспортной сети могут быть пересечения транспортных линий в одном уровне – перекрестки. Пропускная способность регулируемых перекрестков:

 

, (18)

 

где – продолжительность цикла светофорного регулирования, с; – длительность горения разрешенной (зеленой) фазы для рассматриваемого направления движения; а – отрезок времени между моментом включения зеленой фазы и пересечением стоп-линии первым поездом (транспортной единицей); – разрешенный интервал между поездами:

 

, (19)

 

где – длина поезда (транспортной единицы); – зазор безопасности между поездами (транспортными единицами); – разрешенная Правилами технической эксплуатации скорость движения поездов (транспортных единиц) на перекрестке.

Первый сомножитель формулы 16 определяет число циклов светофорного регулирования в часе, второй – количество поездов, которое может быть пропущено через перекресток за один цикл светофорного регулирования. Произведение их определяет количество поездов, которое может быть пропущено через перекресток за час (в одном направлении), т.е. пропускную способность перекрестка.

Основное влияние на пропускную способность перекрестка оказывает продолжительность цикла светофорного регулирования и доля, в ней разрешенного сигнала . Желательно, чтобы было возможно меньше, а больше и соответствовало интенсивности движения для рассматриваемого направления. Стремление уменьшения связано с тем, что с ростом его увеличивается среднее время задержки транспорта у перекрестков

 

(; ) (20)

 

В настоящее время применяют 40-, 50-, 60-, 70-, 80-, 90- и 100-секундные циклы регулирования, причем наиболее оптимальными считают 40- 50-секундные.

Выше приведены лишь простейшие модели расчета пропускной способности элементов ТС. В практической деятельности, в научных исследованиях используют более сложные модели и методики расчета пропускной способности.


Глава 8. Основные технико-эксплуатационные и




Поделиться с друзьями:


Дата добавления: 2014-12-08; Просмотров: 665; Нарушение авторских прав?; Мы поможем в написании вашей работы!


Нам важно ваше мнение! Был ли полезен опубликованный материал? Да | Нет



studopedia.su - Студопедия (2013 - 2026) год. Все материалы представленные на сайте исключительно с целью ознакомления читателями и не преследуют коммерческих целей или нарушение авторских прав! Последнее добавление




Генерация страницы за: 0.009 сек.