Студопедия

КАТЕГОРИИ:


Архитектура-(3434)Астрономия-(809)Биология-(7483)Биотехнологии-(1457)Военное дело-(14632)Высокие технологии-(1363)География-(913)Геология-(1438)Государство-(451)Демография-(1065)Дом-(47672)Журналистика и СМИ-(912)Изобретательство-(14524)Иностранные языки-(4268)Информатика-(17799)Искусство-(1338)История-(13644)Компьютеры-(11121)Косметика-(55)Кулинария-(373)Культура-(8427)Лингвистика-(374)Литература-(1642)Маркетинг-(23702)Математика-(16968)Машиностроение-(1700)Медицина-(12668)Менеджмент-(24684)Механика-(15423)Науковедение-(506)Образование-(11852)Охрана труда-(3308)Педагогика-(5571)Полиграфия-(1312)Политика-(7869)Право-(5454)Приборостроение-(1369)Программирование-(2801)Производство-(97182)Промышленность-(8706)Психология-(18388)Религия-(3217)Связь-(10668)Сельское хозяйство-(299)Социология-(6455)Спорт-(42831)Строительство-(4793)Торговля-(5050)Транспорт-(2929)Туризм-(1568)Физика-(3942)Философия-(17015)Финансы-(26596)Химия-(22929)Экология-(12095)Экономика-(9961)Электроника-(8441)Электротехника-(4623)Энергетика-(12629)Юриспруденция-(1492)Ядерная техника-(1748)

Теорема доказана




В многоугольник можно вписать окружность, если найдется точка, равноудаленная от всех его сторон. Эта точка лежит на биссектрисе каждого угла многоугольника. Следовательно, в многоугольник можно вписать окружность тогда и только тогда, когда биссектрисы всех его углов имеют общую точку. Эта точка и будет центром вписанной окружности.

Около многоугольника можно описать окружность, если найдется точка, равноудаленная от всех его вершин. Эта точка лежит на серединном перпендикуляре каждой стороны многоугольника. Следовательно, около многоугольника можно описать окружность тогда и только тогда, когда серединные перпендикуляры всех его сторон имеют общую точку. Эта точка и будет центром описанной окружности.

Отсюда

За длину окружности принимается тот предел, к которому стремится (приближается) переменный периметр правильного многоугольника, вписанного в эту окружность, когда число его сторон неограниченно удваивается.

Данная точка называется центром окружности, а отрезок, соединяющий центр с какой-либо точкой окружности. Из определения окружности следует, что все радиусы имеют равную длину. Отрезок, соединяющий две точки окружности, называется ее хордой. Хорда, проходящая через центр окружности, называется диаметром.

Из чертежа очевидно, что площадь сектора зависит от градусной меры центрального угла, образованного радиусами, ограничивающими данный сектор. Она может быть определена как соответствующая часть площади руга.

1.

Словарный состав языка.

Аналитические способы выражения грамматического значения.

Аналитические способы выражения грамм. значений:

1) Супплетивизм – соединение в одну грамматическую пару разнокорневых слов, когда, несмотря на различие корней, лексическое знач-ие не меняется, а разнокорневые слова служат для различения грамм. значений. Для рус.яз. этот способ не продуктивен: множественное число сущ-ых,глаг-ах, метоим-ях (напр., идти/шёл, есть/был/буду, я/меня)

2) Синтаксическая связь применяется для выражения грамм. знач-ий тех слов, у которых нет формы изменения, когда применяются другие слова, с которыми данное слово сочетается в предложении (напр., в зоопарке новый шимпанзе/в зоопарке много шимпанзе.

3) Порядок слов в предложении. Линейность речи позволяет рассматривать её, как некую последовательность действий во времени (если речь идёт о письме, то ещё и в пространстве). Порядок расположения последовательности может иметь огромное значение. Для разны языков различно: есть языки, в которых порядок слов в предложении строго закреплён.

4) Интонация.


Все слова, существующие в языке, образуют его словарный состав. Наиболее часто активно употребляемые слова составляют его основной словарный фонд.

Словарный состав языка дифференцируется по разным признакам.

Основной словарный фонд состоит из активного словаря (все слова, которые мы понимаем и активно употребляем) и пассивного словаря (он более широкий, включает в себя слова, которые мы понимаем, но не используем).

Лексика представляет собой систему:

1. Неологизмы – слова, возникшие на памяти применяющего их поколения:

а) лексические (просто новые появившиеся),

б) семантические (к существующему в языке слову добавляется новое значение, напр., спутник – космич./приятель)

2. Заимствования:

а) калькирование (телевидение),

б) интернационализмы (гео, гидра и т.д.). Полезны или вредны? Считают, что заимствоваться должны лишь те слова, аналогов которых нет в данном языке, а те, которые уже есть, заимствовать и использовать не надо.

3. Архаизмы – устаревшие слова (уходят из языка, т.к. уходят из обращения (употребления) слова, которые они обозначают, на смену приходят другие слова).

4. Историзмы – слова, которые обозначали различные исторические предметы/явления (барин, штабс-капитан)

5. Эвфемизмы – слова, которые используются вместо неких табуированных (запрещённых) слов.

 

 

а) Не будет, потому что пепсин не действует на указанные аминокислоты.

б) Смотри стрелки под формулой пептида наверху.

в)

 

 

г) Азотистый баланс понизится, так как будет угнетён энергетический обмен и произойдёт катаболизм белков.

2. а) Гистидин, Аргинин

 
 


б) в)

 
 

 


 

г) Продукт – мочевина.

Значение – выведение аммиака, накопление которого приводит к токсическому эффекту.

 

 

3. а) В крови – аммиак, глутамин, ион аммония NH4+, а также метаболиты орнитинового цикла: цитрулит, аргининосукцинат. Наибольшей токсичностью обладают: аммиак, глутамин, ион аммония.

 

б) Высокие концентрации аммиака стимули­руют синтез глутамина из глутамата в нервной ткани (при участии глутаминсинтетазы): Глутамат + NH3 + АТФ → Глутамин + АДФ + Н3РО4.

Накопление глутамина в клетках нейроглии приводит к повышению осмотического дав­ления в них, набуханию астроцитов и в боль­ших концентрациях может вызвать отёк мозга. Снижение концентрации глутамата нарушает обмен аминокислот и нейромедиаторов, в частности синтез γ-аминомасляной кислоты (ГАМК), основного тормозного медиатора. При недостатке ГАМК и других медиаторов нарушается проведение нервно­го импульса, возникают судороги.

Ион NH4+ практически не проникает через цитоплазматические и митохондриальные мембраны. Избыток иона аммония в крови способен нарушать трансмембранный пере­нос одновалентных катионов Na+ и К+, кон­курируя с ними за ионные каналы, что также влияет на проведение нервных импульсов.

 

в) Избегать белковой пищи, введение кетоаналогов аминокислот, стимулирование выведения аммиака в обход нарушенных реакций путём связывания и выведения NH3 в со­ставе фенилацетилглутамина и гиппуровой кислоты; а также повышением концентрации промежуточных метаболитов цикла (аргинина, цитруллина, глутамата), образующихся вне блокируемых реакций.

4. а) б)

 

 

 
 

 

 


в) Гормон физической работы, который синтезируется при стрессе и регулирует основной обмен, а так же условные сокращения сердечной мышцы.

Место синтеза – мозговое вещество надпочечников.

 

5. а) Дофамин

б) в)

 

 

Кофермент - ФАД

 

Фермент – ДОФА-декарбоксилаза

Площадь сектора с центральным углом в 1° составляет часть площади круга, а площадь сектора с центральным углом в a° составляет часть площади круга и определяется по формуле: Преобразуем полученную формулу:

S1
S2
S3
Следует заметить, что площадь вектора однозначно определяется величиной центрального угла. Чем больше центральный угол сектора, тем больше длина дуги и, соответственно, площадь сектора.

С
В
А
B
A
S1
S2
O
O
D
Определение 3. Сегментом называется часть круга, ограниченная дугой и хордой, соединяющими концы этой дуги.

Вывод формулы площади сегмента.

Из чертежа очевидно, что площадь сегмента может быть определена:

а) как разность площадей сектора 1 и треугольника AOB, если ÐАОВ < 180°;

б) как сумма площадей сектора 2 и треугольника AOB, если ÐАОВ > 180°.

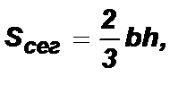
Если градусная мера дуги АВ (соответствующего ей центрального угла) невелика, то площадь сегмента может быть определена по приближенной формуле: где b – есть основание сегмента или длина хорды АВ, а h – высота сегмента (стрелка сегмента). Стрелкой сегмента называется часть диаметра круга, перпендикулярного его хорде, лежащая в сегменте. h = CD. Если градусная мера дуги не превышает 50°, то погрешность в вычислении площади не превышает 1 %.

22. Доказать формулы длины окружности, длины дуги окружности.

Определение 1. Окружностью называется геометрическая фигура, состоящая из всех точек, расположенных на заданном расстоянии от данной точки.

С3
С2
С1
Теорема 1 (о длине окружности). Длина С окружности радиусом R выражается формулой С = 2pR.

Пусть С и С’ – длины окружностей радиусов R и R’. Впишем в каждую из этих окружностей правильный n-угольник. Тогда

Отношение длины окружности к ее диаметру есть число постоянное для всех окружностей. Из этого соотношения получим формулу для нахождения длины окружности C = 2pR.

Теорема 2 (о длине дуги окружности). Длина дуги окружности определяется по формуле

Так как длина окружности С = 2pR, то длина дуги в 1°

23. Доказать формулу, выражающую площадь правильного многоугольника через его сторону, радиус вписанной и описанной окружностей.

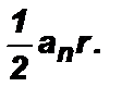
Соединим центр многоугольника с его вершинами. Тогда многоугольник разобьется на n равных треугольников, площадь каждого из которых равна Следовательно,

A2
A1
О
N1
Из рассмотрения равнобедренного треугольника получим:

Доказательство:

1) центральный, опирающийся на дугу, стягиваемую хордой А1А2;

2) Из ∆ А1ОN1 (ÐА1N1О = 90°):

24. Правильные многоугольники. Доказать теорему о том, что около любого правильного многоугольника можно описать окружность и в любой правильный многоугольник можно вписать окружность.

Определение 1. Многоугольник называется вписанным в окружность, а окружность – описанной около многоугольника, если все вершины многоугольника лежат на окружности.

Теорема 1: Около любого правильного многоугольника можно описать окружность, и притом только одну.

:

Дано: А1А2…Аn – правильный многоугольник.

Доказать: 1) существует окружность с центром О, описанная около многоугольника А1А2…Аn; 2) эта окружность единственная.

Доказательство:

1) Пусть лучи А1О и А2О – биссектрисы углов А1 и А2 – пересекаются в точке О. Докажем, что точка О – центр описанной около многоугольника А1А2…Аn окружности.

2) Рассмотрим ∆А1ОА2 – равнобедренный, т. к. по определению правильного многоугольника Þ по определению биссектрисы Þ Медиана ОN1, проведенная к основанию равнобедренного треугольника, является высотой треугольника, т. е. серединным перпендикуляром.

3) Рассмотрим ∆А1ОА2 и ∆А2ОА3.

Из равенства треугольников Þ

4) Аналогично доказывается След-но, точка О равноудалена от всех вершин правильного многоугольника А1А2…Аn и является центром описанной окружности, а радиусом окружности является отрезок ОА1.

5) Докажем, что эта описанная окружность единственная. Рассмотрим три любые вершины многоугольника, например, Так как через любые три точки, не лежащие на одной прямой, проходит только одна окружность, то около правильного многоугольника А1А2…Аn можно описать единственную окружность.

Определение 2. Многоугольник называется описанным около окружности, а окружность – вписанной в многоугольник, если все стороны многоугольника являются касательными к окружности.

Теорема 2: В любой правильный многоугольник можно вписать окружность, и притом только одну.

Дано: А1А2…Аn – правильный многоугольник.

Доказать: 1) существует окружность с центром О, вписанная в многоугольник А1А2…Аn; 2) эта окружность единственная.

Доказательство:

1) Из доказательства предыдущей теоремы следует, что серединные перпендикуляры Таким образом, окружность радиуса ОN1 c центром в точке О является вписанной в многоугольник А1А2…Аn окружностью.

2) Докажем, что эта вписанная окружность единственная. Предположим, что наряду с рассматриваемой окружностью с центром в точке О и радиусом ОN1 существует и другая вписанная в многоугольник окружность с центром в точке О1. Тогда точка О1 равноудалена от сторон многоугольника и лежит на каждой из биссектрис его углов, а следовательно, совпадает с точкой О пересечения этих биссектрис. Радиус этой окружности равен расстоянию от точки О до сторон многоугольника, т. е. равен ОN1. Таким образом, вторая окружность совпадает с первой.




Поделиться с друзьями:


Дата добавления: 2015-04-24; Просмотров: 1266; Нарушение авторских прав?; Мы поможем в написании вашей работы!


Нам важно ваше мнение! Был ли полезен опубликованный материал? Да | Нет



studopedia.su - Студопедия (2013 - 2026) год. Все материалы представленные на сайте исключительно с целью ознакомления читателями и не преследуют коммерческих целей или нарушение авторских прав! Последнее добавление




Генерация страницы за: 0.009 сек.