Студопедия

КАТЕГОРИИ:


Архитектура-(3434)Астрономия-(809)Биология-(7483)Биотехнологии-(1457)Военное дело-(14632)Высокие технологии-(1363)География-(913)Геология-(1438)Государство-(451)Демография-(1065)Дом-(47672)Журналистика и СМИ-(912)Изобретательство-(14524)Иностранные языки-(4268)Информатика-(17799)Искусство-(1338)История-(13644)Компьютеры-(11121)Косметика-(55)Кулинария-(373)Культура-(8427)Лингвистика-(374)Литература-(1642)Маркетинг-(23702)Математика-(16968)Машиностроение-(1700)Медицина-(12668)Менеджмент-(24684)Механика-(15423)Науковедение-(506)Образование-(11852)Охрана труда-(3308)Педагогика-(5571)Полиграфия-(1312)Политика-(7869)Право-(5454)Приборостроение-(1369)Программирование-(2801)Производство-(97182)Промышленность-(8706)Психология-(18388)Религия-(3217)Связь-(10668)Сельское хозяйство-(299)Социология-(6455)Спорт-(42831)Строительство-(4793)Торговля-(5050)Транспорт-(2929)Туризм-(1568)Физика-(3942)Философия-(17015)Финансы-(26596)Химия-(22929)Экология-(12095)Экономика-(9961)Электроника-(8441)Электротехника-(4623)Энергетика-(12629)Юриспруденция-(1492)Ядерная техника-(1748)

Правило Крамера для решения систем линейных уравнений




Частные случаи

Вид обратной матрицы

Необходимое и достаточное условие существования обратной матрицы

Пусть - матрица размерности . Обратная матрица существует тогда и только тогда, когда ().

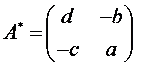
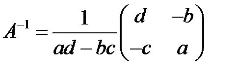
Пусть - матрица размерности , . Найдем обратную матрицу:

1. Находим все алгебраических дополнений к элементам матрицы . Алгебраическое дополнение – это определитель, полученный из матрицы вычеркиванием -ой строки и -го столбца, взятый со знаком , если сумма четная, и - если нечетная.

2. Составляем присоединенную к матрицу:

получена из заменой элементов на их алгебраические дополнения и транспонированием.

[_]

Пусть дана система линейных уравнений

Запишем ее в матричной форме

Вычислим определитель системы

.

Если , то система либо не имеет решений, либо имеет бесконечно много решений и правило Крамера неприменимо.

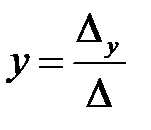
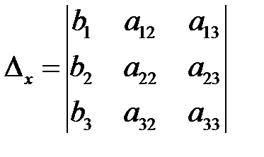
Вычислим три вспомогательных определителя:

; ; .

Решение системы:

; ; .

[_]




Поделиться с друзьями:


Дата добавления: 2015-04-24; Просмотров: 424; Нарушение авторских прав?; Мы поможем в написании вашей работы!


Нам важно ваше мнение! Был ли полезен опубликованный материал? Да | Нет



studopedia.su - Студопедия (2013 - 2025) год. Все материалы представленные на сайте исключительно с целью ознакомления читателями и не преследуют коммерческих целей или нарушение авторских прав! Последнее добавление




Генерация страницы за: 0.011 сек.