Студопедия

КАТЕГОРИИ:


Архитектура-(3434)Астрономия-(809)Биология-(7483)Биотехнологии-(1457)Военное дело-(14632)Высокие технологии-(1363)География-(913)Геология-(1438)Государство-(451)Демография-(1065)Дом-(47672)Журналистика и СМИ-(912)Изобретательство-(14524)Иностранные языки-(4268)Информатика-(17799)Искусство-(1338)История-(13644)Компьютеры-(11121)Косметика-(55)Кулинария-(373)Культура-(8427)Лингвистика-(374)Литература-(1642)Маркетинг-(23702)Математика-(16968)Машиностроение-(1700)Медицина-(12668)Менеджмент-(24684)Механика-(15423)Науковедение-(506)Образование-(11852)Охрана труда-(3308)Педагогика-(5571)Полиграфия-(1312)Политика-(7869)Право-(5454)Приборостроение-(1369)Программирование-(2801)Производство-(97182)Промышленность-(8706)Психология-(18388)Религия-(3217)Связь-(10668)Сельское хозяйство-(299)Социология-(6455)Спорт-(42831)Строительство-(4793)Торговля-(5050)Транспорт-(2929)Туризм-(1568)Физика-(3942)Философия-(17015)Финансы-(26596)Химия-(22929)Экология-(12095)Экономика-(9961)Электроника-(8441)Электротехника-(4623)Энергетика-(12629)Юриспруденция-(1492)Ядерная техника-(1748)

Метод Гаусса. Решение систем линейных уравнений методом Гаусса




Решение систем линейных уравнений методом Гаусса

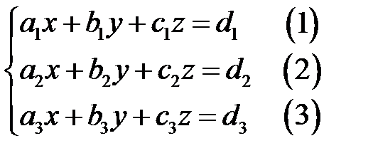
Общий вид системы линейного уравнения из 3-х уравнений с 3 неизвестными:

(*)

, , называются переменными, , , - коэффициентами, - свободными членами.

Для решения такой системы уравнений можно использовать, например, метод Гаусса.

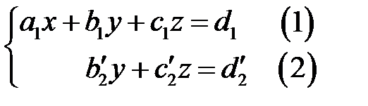
1. Рассмотрим (*). Пусть . Тогда исключим из уравнений (2) и (3). Для этого:

a. вычтем из строки (2) строку (1), помноженную на ;

b. вычтем из строки (3) строку (1), помноженную на .

Получим систему вида:

(**)

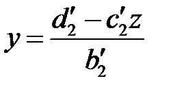
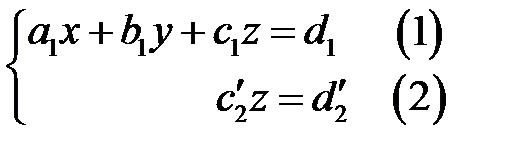
2. Рассмотрим (**). Пусть . Тогда исключим из уравнения (3). Для этого вычтем из строки (3) строку (2), помноженную на .

Получим один из четырех видов системы:

1.

Пусть . Получаем решение:

; ; .

 

2.

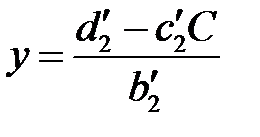
Система имеет бесконечное множество решений. Главные неизвестные: , , свободные - .

Присваиваем свободной переменной любое постоянное значение: . Тогда

; .

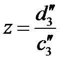
3.

Система имеет бесконечное множество решений. Главные неизвестные: , , свободные - .

Присваиваем свободной переменной любое постоянное значение: . Пусть . Тогда

; .

4.

Система имеет бесконечное множество решений. Главные неизвестные: , свободные - , .

Присваиваем свободным переменным любые различные постоянные значения: , . Тогда

.

[_]

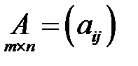
2. Матрицы. Равенство матриц. Операции над матрицами: транспонирование, сложение, умножение на число, произведение матриц

Матрица размером ( - строки, - столбцы) – это таблица

,

Сокращенно




Поделиться с друзьями:


Дата добавления: 2015-04-24; Просмотров: 437; Нарушение авторских прав?; Мы поможем в написании вашей работы!


Нам важно ваше мнение! Был ли полезен опубликованный материал? Да | Нет



studopedia.su - Студопедия (2013 - 2025) год. Все материалы представленные на сайте исключительно с целью ознакомления читателями и не преследуют коммерческих целей или нарушение авторских прав! Последнее добавление




Генерация страницы за: 0.007 сек.