Студопедия

КАТЕГОРИИ:


Архитектура-(3434)Астрономия-(809)Биология-(7483)Биотехнологии-(1457)Военное дело-(14632)Высокие технологии-(1363)География-(913)Геология-(1438)Государство-(451)Демография-(1065)Дом-(47672)Журналистика и СМИ-(912)Изобретательство-(14524)Иностранные языки-(4268)Информатика-(17799)Искусство-(1338)История-(13644)Компьютеры-(11121)Косметика-(55)Кулинария-(373)Культура-(8427)Лингвистика-(374)Литература-(1642)Маркетинг-(23702)Математика-(16968)Машиностроение-(1700)Медицина-(12668)Менеджмент-(24684)Механика-(15423)Науковедение-(506)Образование-(11852)Охрана труда-(3308)Педагогика-(5571)Полиграфия-(1312)Политика-(7869)Право-(5454)Приборостроение-(1369)Программирование-(2801)Производство-(97182)Промышленность-(8706)Психология-(18388)Религия-(3217)Связь-(10668)Сельское хозяйство-(299)Социология-(6455)Спорт-(42831)Строительство-(4793)Торговля-(5050)Транспорт-(2929)Туризм-(1568)Физика-(3942)Философия-(17015)Финансы-(26596)Химия-(22929)Экология-(12095)Экономика-(9961)Электроника-(8441)Электротехника-(4623)Энергетика-(12629)Юриспруденция-(1492)Ядерная техника-(1748)

Свойства. Каноническое уравнение




Каноническое уравнение

Определение

Вывод канонического уравнения окружности

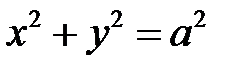
Пусть даны точка - центр окружности и ее радиус . Возьмем произвольную точку на плоскости - . Она принадлежит окружности тогда и только тогда когда расстояние от нее до центра равно радиусу , т.е. из билета №12

[_]

16. Эллипс: определение, каноническое уравнение, свойства

Эллипс – кривая на плоскости, для каждой точки которой сумма расстояний до 2-х фиксированных точек на плоскости , (фокусы) есть положительная постоянная величина (), большая, чем расстояние между фокусами ().

По определению эллипса

, (*)

1. Эллипс симметричен относительно осей , . Если точка , то .

2. Исследуем форму эллипса при , . Из (*) получаем

Построим график последнего выражения

возрастает от до , убывает от до .

Следствие: эллипс находится в прямоугольнике

называется большой полуосью эллипса, - малой полуосью эллипса.

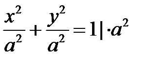
3. При (при этом ). Из (*) и

Получили уравнение окружности радиуса .

4. Эксцентриситет эллипса:

При - эллипс превращается в окружность.

При - эллипс вытягивается вдоль .

[_]

17. Гипербола: определение, каноническое уравнение, свойства




Поделиться с друзьями:


Дата добавления: 2015-04-24; Просмотров: 1507; Нарушение авторских прав?; Мы поможем в написании вашей работы!


Нам важно ваше мнение! Был ли полезен опубликованный материал? Да | Нет



studopedia.su - Студопедия (2013 - 2026) год. Все материалы представленные на сайте исключительно с целью ознакомления читателями и не преследуют коммерческих целей или нарушение авторских прав! Последнее добавление




Генерация страницы за: 0.011 сек.