Студопедия

КАТЕГОРИИ:


Архитектура-(3434)Астрономия-(809)Биология-(7483)Биотехнологии-(1457)Военное дело-(14632)Высокие технологии-(1363)География-(913)Геология-(1438)Государство-(451)Демография-(1065)Дом-(47672)Журналистика и СМИ-(912)Изобретательство-(14524)Иностранные языки-(4268)Информатика-(17799)Искусство-(1338)История-(13644)Компьютеры-(11121)Косметика-(55)Кулинария-(373)Культура-(8427)Лингвистика-(374)Литература-(1642)Маркетинг-(23702)Математика-(16968)Машиностроение-(1700)Медицина-(12668)Менеджмент-(24684)Механика-(15423)Науковедение-(506)Образование-(11852)Охрана труда-(3308)Педагогика-(5571)Полиграфия-(1312)Политика-(7869)Право-(5454)Приборостроение-(1369)Программирование-(2801)Производство-(97182)Промышленность-(8706)Психология-(18388)Религия-(3217)Связь-(10668)Сельское хозяйство-(299)Социология-(6455)Спорт-(42831)Строительство-(4793)Торговля-(5050)Транспорт-(2929)Туризм-(1568)Физика-(3942)Философия-(17015)Финансы-(26596)Химия-(22929)Экология-(12095)Экономика-(9961)Электроника-(8441)Электротехника-(4623)Энергетика-(12629)Юриспруденция-(1492)Ядерная техника-(1748)

Свойства. Каноническое уравнение




Каноническое уравнение

Определение

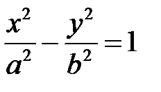
Гипербола – кривая на плоскости, для каждой точки которой модуль разности расстояний от двух фиксированных точек и (фокусов) есть положительная постоянная величина () меньшая, чем расстояние между фокусами ().

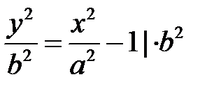
, (*)

1. Гипербола симметрична относительно осей , .

2. Исследуем форму гиперболы при и . Из (*)

При изменении от до , возрастает от до . При , точка гиперболы бесконечно приближается к прямой - к асимптоте гиперболы.

3. Построение гиперболы

1. Строится основной прямоугольник гиперболы

2. Продолжаем диагонали прямоугольника – получаем асимптоты: .

4. Эксцентриситет гиперболы .

Пусть фиксировано.

При гипербола вытягивается вдоль .

При гипербола вытягивается вдоль .

[_]

18. Парабола: определение, каноническое уравнение, свойства




Поделиться с друзьями:


Дата добавления: 2015-04-24; Просмотров: 514; Нарушение авторских прав?; Мы поможем в написании вашей работы!


Нам важно ваше мнение! Был ли полезен опубликованный материал? Да | Нет



studopedia.su - Студопедия (2013 - 2025) год. Все материалы представленные на сайте исключительно с целью ознакомления читателями и не преследуют коммерческих целей или нарушение авторских прав! Последнее добавление




Генерация страницы за: 0.009 сек.