Студопедия

КАТЕГОРИИ:


Архитектура-(3434)Астрономия-(809)Биология-(7483)Биотехнологии-(1457)Военное дело-(14632)Высокие технологии-(1363)География-(913)Геология-(1438)Государство-(451)Демография-(1065)Дом-(47672)Журналистика и СМИ-(912)Изобретательство-(14524)Иностранные языки-(4268)Информатика-(17799)Искусство-(1338)История-(13644)Компьютеры-(11121)Косметика-(55)Кулинария-(373)Культура-(8427)Лингвистика-(374)Литература-(1642)Маркетинг-(23702)Математика-(16968)Машиностроение-(1700)Медицина-(12668)Менеджмент-(24684)Механика-(15423)Науковедение-(506)Образование-(11852)Охрана труда-(3308)Педагогика-(5571)Полиграфия-(1312)Политика-(7869)Право-(5454)Приборостроение-(1369)Программирование-(2801)Производство-(97182)Промышленность-(8706)Психология-(18388)Религия-(3217)Связь-(10668)Сельское хозяйство-(299)Социология-(6455)Спорт-(42831)Строительство-(4793)Торговля-(5050)Транспорт-(2929)Туризм-(1568)Физика-(3942)Философия-(17015)Финансы-(26596)Химия-(22929)Экология-(12095)Экономика-(9961)Электроника-(8441)Электротехника-(4623)Энергетика-(12629)Юриспруденция-(1492)Ядерная техника-(1748)

Прямоугольная система координат в пространстве и на плоскости. Расстояние между двумя точками




Угол между векторами

Длина вектора

Скалярное произведение

Ортонормированный базис. Скалярное произведение в ортонормированном базисе. Длина вектора, угол между векторами.

Свойства

Скалярное произведение и его свойства

Операции над векторами в координатной форме

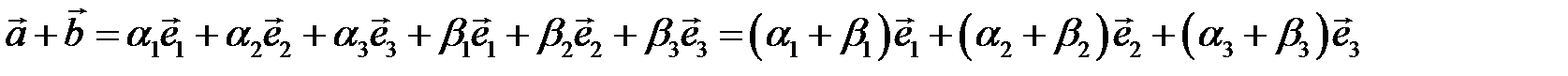
Пусть даны вектора и . Тогда

Пусть дан вектор и число . Тогда

[_]

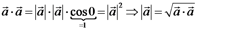
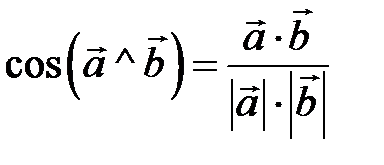
Пусть даны вектора , , а - угол между и . Скалярным произведением и называется число

Корректность определения

1.

2. Если (либо ), то не определен, но и

1.

2.

3.

4. Для любого числа

5. Для любого

6. Если и , то угол

[_]

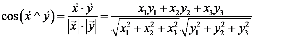
Ортонормированным базисом называется базис, в котором все базисные вектора перпендикулярны друг другу, а их модули равны 1:

, , , , ,

Обозначим эти базисные вектора через , и .

Имеем

, , (*)

(**)

Пусть даны векторы

,

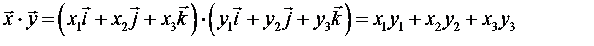
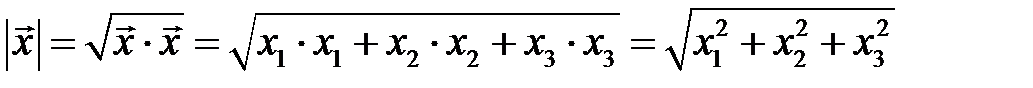
С учетом (*) и (**) найдем

Из билета №10

Из билета №10

[_]

Пусть - произвольная точка пространства, называемая началом координат. Радиус-вектором точки называется вектор, начало которого совпадает с началом координат, а концом является сама точка .

Координаты точки - это координаты ее радиус-вектора .




Поделиться с друзьями:


Дата добавления: 2015-04-24; Просмотров: 592; Нарушение авторских прав?; Мы поможем в написании вашей работы!


Нам важно ваше мнение! Был ли полезен опубликованный материал? Да | Нет



studopedia.su - Студопедия (2013 - 2025) год. Все материалы представленные на сайте исключительно с целью ознакомления читателями и не преследуют коммерческих целей или нарушение авторских прав! Последнее добавление




Генерация страницы за: 0.009 сек.