Студопедия

КАТЕГОРИИ:


Архитектура-(3434)Астрономия-(809)Биология-(7483)Биотехнологии-(1457)Военное дело-(14632)Высокие технологии-(1363)География-(913)Геология-(1438)Государство-(451)Демография-(1065)Дом-(47672)Журналистика и СМИ-(912)Изобретательство-(14524)Иностранные языки-(4268)Информатика-(17799)Искусство-(1338)История-(13644)Компьютеры-(11121)Косметика-(55)Кулинария-(373)Культура-(8427)Лингвистика-(374)Литература-(1642)Маркетинг-(23702)Математика-(16968)Машиностроение-(1700)Медицина-(12668)Менеджмент-(24684)Механика-(15423)Науковедение-(506)Образование-(11852)Охрана труда-(3308)Педагогика-(5571)Полиграфия-(1312)Политика-(7869)Право-(5454)Приборостроение-(1369)Программирование-(2801)Производство-(97182)Промышленность-(8706)Психология-(18388)Религия-(3217)Связь-(10668)Сельское хозяйство-(299)Социология-(6455)Спорт-(42831)Строительство-(4793)Торговля-(5050)Транспорт-(2929)Туризм-(1568)Физика-(3942)Философия-(17015)Финансы-(26596)Химия-(22929)Экология-(12095)Экономика-(9961)Электроника-(8441)Электротехника-(4623)Энергетика-(12629)Юриспруденция-(1492)Ядерная техника-(1748)

Базис пространства векторов. Координаты вектора в базисе




Произведение вектора на число

Сложение векторов

Сложение векторов и умножение их на число

Определение равенства векторов

1.

2. и лежат на параллельных прямых

3. и одинаковы направлены ().

Обозначения:

- множество свободных векторов в пространстве

- множество свободных векторов на некоторой плоскости

[_]

Пусть даны векторы и . Суммой векторов и называется вектор , который может быть получен следующим образом:

Вектор переносится параллельным переносом так, чтобы конец вектора и начало вектора совпали. Начало результирующего вектора совпадает с началом вектора , а конец – с концом вектора .

Свойства суммы

1.

2.

Пусть дан вектор и число . Произведением вектора на число называется вектор , такой что:

1. , если

2. , если

3. .

Свойства умножения на число

1.

2.

3.

[_]

Вектора и называются коллинеарными, если , т.е. их представителей можно взять на одной прямой.

Вектора , и называются компланарными, если их представителей можно взять на одной плоскости.

Базисом пространства называется любая упорядоченная тройка некомпланарных векторов , , .

Базисом пространства называется любая упорядоченная пара неколлинеарных векторов.

Теорема

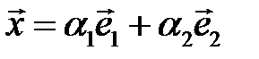
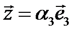
Любой вектор () раскладывается в линейную комбинацию базисных векторов ():

()

()

Числа () называются координатами вектора в базисе.

Доказательство:

Для :

 

 

Для :

(см. выше)

Подставляем, получаем:

Теорема

Координаты вектора в заданном базисе определены неоднозначно.




Поделиться с друзьями:


Дата добавления: 2015-04-24; Просмотров: 525; Нарушение авторских прав?; Мы поможем в написании вашей работы!


Нам важно ваше мнение! Был ли полезен опубликованный материал? Да | Нет



studopedia.su - Студопедия (2013 - 2025) год. Все материалы представленные на сайте исключительно с целью ознакомления читателями и не преследуют коммерческих целей или нарушение авторских прав! Последнее добавление




Генерация страницы за: 0.009 сек.