Студопедия

КАТЕГОРИИ:


Архитектура-(3434)Астрономия-(809)Биология-(7483)Биотехнологии-(1457)Военное дело-(14632)Высокие технологии-(1363)География-(913)Геология-(1438)Государство-(451)Демография-(1065)Дом-(47672)Журналистика и СМИ-(912)Изобретательство-(14524)Иностранные языки-(4268)Информатика-(17799)Искусство-(1338)История-(13644)Компьютеры-(11121)Косметика-(55)Кулинария-(373)Культура-(8427)Лингвистика-(374)Литература-(1642)Маркетинг-(23702)Математика-(16968)Машиностроение-(1700)Медицина-(12668)Менеджмент-(24684)Механика-(15423)Науковедение-(506)Образование-(11852)Охрана труда-(3308)Педагогика-(5571)Полиграфия-(1312)Политика-(7869)Право-(5454)Приборостроение-(1369)Программирование-(2801)Производство-(97182)Промышленность-(8706)Психология-(18388)Религия-(3217)Связь-(10668)Сельское хозяйство-(299)Социология-(6455)Спорт-(42831)Строительство-(4793)Торговля-(5050)Транспорт-(2929)Туризм-(1568)Физика-(3942)Философия-(17015)Финансы-(26596)Химия-(22929)Экология-(12095)Экономика-(9961)Электроника-(8441)Электротехника-(4623)Энергетика-(12629)Юриспруденция-(1492)Ядерная техника-(1748)

Подбор сечений




Подберём размеры указанных трёх вариантов: двутавровое сечениекольцевое сечениеи коробчатое сечение. Подбор выполняем, используя условие прочности по допускаемым напряжениям (5.4). Из этого условия при значении момента M max=28,8кН·м и допускаемом напряжении [s]=200 Мпа найдём требуемое значение момента сопротивления сечения Wx:

 

 

Выполним подбордвутаврого сечения балки, длякоторого момент сопротивления поперечного сечения

По таблице ГОСТ 8239-89 (см. табл. П.4 Приложения) выбираем двутавр № 18, для которого

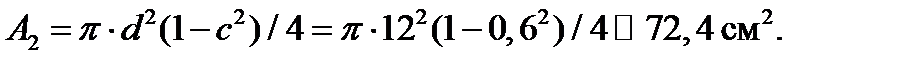
Выполним подбор диаметра кольцевого сечения балки, длякоторого выражение момента сопротивления сечения имеет вид:

,

где = 0,6 - отношение внутреннего диаметра к внешнему. Так как момент сопротивления Wx ≥ 144 см3, то требуемый диаметр кольцевого сечения

Принимаем диаметр кольцевого сечения d = 12см.

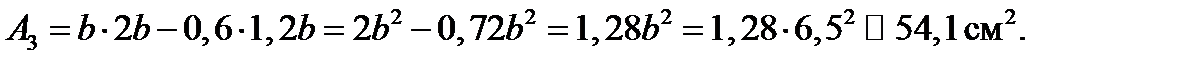
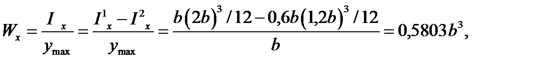
Коробчатое сечение должно иметь то же значение момента сопротивления Wx ≥ 144 см3. Запишем выражение момента сопротивления коробчатого сечения как сечения, состоящего из двух прямоугольников размерами b 2 b и 0,6 b 1,2 b.

где ̶ моменты инерции,определяемые формулой .

Тогда .

Принимаем b = 6,5 см.

Сравним расход материала по площади поперечного сечения.

Для двутавра № 18 площадь сечения по таблице ГОСТ 8239-89 (см. табл. П.4)

Для кольцевого сечения диаметром d = 12см площадь сечения

Для коробчатого сечения с b = 6,5 см площадь сечения

Двутавровое сечение, как сечение с меньшей площадью, принимаем за более экономичное.


Таблица 5.1. Исходные значения к задаче 5

Номер вари­анта Длина участков, м Интенсивность нагрузки, кН/м Сила, кН Сосредоточенный момент, кН∙м
l 1 l 2 q 1, q 2, P 1 P2 М 1 М 2
  2,8 2,2           -32
  2,0 2,6   -12 -22      
  3,0 1,8            
  1,9 2,8       -13 -20  
  2,8 2,0            
  2,5 3,0 -17     -25    
  3,0 2,0            
  2,2 2,8   -15 -26     -28
  2,5 2,5         -26  
  2,0 2,5 -18          
  2,5 2,6       -20 -24  
  2,2 3,0            
  2,5 2,2   -28        
  2,3 2,8     -14      
  1,8 3,0 -26       -33  
  3,0 1,5     -27     -40
  1,5 2,5 -30   -12      
  2,5 1,2 -12 -24        
  1,2 3,0   -12       -32
  3,0 1,7 -10          
  1,6 2,4           -25
  2,4 1,9   -20 -10      
  1,8 2,6 -15 -25        
  2,6 1,9 -30         -32
  1,8 2,8   -10     -42  
  2,7 2,5     -15      
  2,2 2,8 -45     -20   -13
  2,8 2,5   -15       -36
  3,0 1,5     -18      
  2,3 1,8 -19       -16  
                     

Задача 6




Поделиться с друзьями:


Дата добавления: 2015-06-04; Просмотров: 1135; Нарушение авторских прав?; Мы поможем в написании вашей работы!


Нам важно ваше мнение! Был ли полезен опубликованный материал? Да | Нет



studopedia.su - Студопедия (2013 - 2026) год. Все материалы представленные на сайте исключительно с целью ознакомления читателями и не преследуют коммерческих целей или нарушение авторских прав! Последнее добавление




Генерация страницы за: 0.008 сек.