Студопедия

КАТЕГОРИИ:


Архитектура-(3434)Астрономия-(809)Биология-(7483)Биотехнологии-(1457)Военное дело-(14632)Высокие технологии-(1363)География-(913)Геология-(1438)Государство-(451)Демография-(1065)Дом-(47672)Журналистика и СМИ-(912)Изобретательство-(14524)Иностранные языки-(4268)Информатика-(17799)Искусство-(1338)История-(13644)Компьютеры-(11121)Косметика-(55)Кулинария-(373)Культура-(8427)Лингвистика-(374)Литература-(1642)Маркетинг-(23702)Математика-(16968)Машиностроение-(1700)Медицина-(12668)Менеджмент-(24684)Механика-(15423)Науковедение-(506)Образование-(11852)Охрана труда-(3308)Педагогика-(5571)Полиграфия-(1312)Политика-(7869)Право-(5454)Приборостроение-(1369)Программирование-(2801)Производство-(97182)Промышленность-(8706)Психология-(18388)Религия-(3217)Связь-(10668)Сельское хозяйство-(299)Социология-(6455)Спорт-(42831)Строительство-(4793)Торговля-(5050)Транспорт-(2929)Туризм-(1568)Физика-(3942)Философия-(17015)Финансы-(26596)Химия-(22929)Экология-(12095)Экономика-(9961)Электроника-(8441)Электротехника-(4623)Энергетика-(12629)Юриспруденция-(1492)Ядерная техника-(1748)

Передаточная функция последовательного соединения




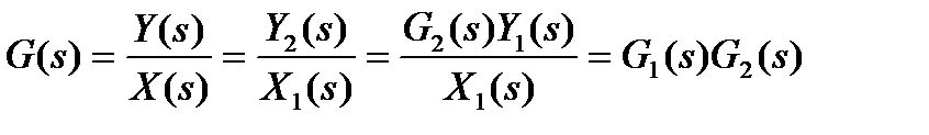
Последовательное соединение показано на рис. 1.11. Согласно определению передаточная функция есть отношение образов выхо­да и входа, поэтому

. (1.3.1)

Таким образом, передаточная функция последовательно соединен­ных элементов равна произведению их передаточных функций.

Пример 1.6. Модель ввода и освоения производственных мощно­стей. Выше было показано, что процесс освоения введенных про­изводственных мощностей можно описать в форме инерционного звена. Если принять, что процесс ввода мощностей также можно описать с помощью инерционного звена, то объединенный процесс ввода и освоения мощностей, таким образом, подобен двум после­довательно соединенным инерционным звеньям с постоянными времени T1, T2, где T1, T2 — длительности соответственно ввода и освоения примерно двух третей мощности.

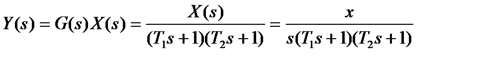
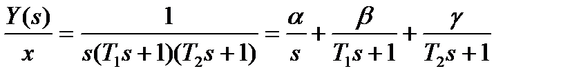
Передаточная функция этого последовательного соединения

.

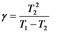
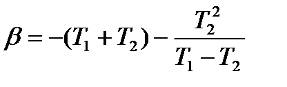
Отсюда

,

поскольку

,

где х — полный объем вводимой и осваиваемой мощности.

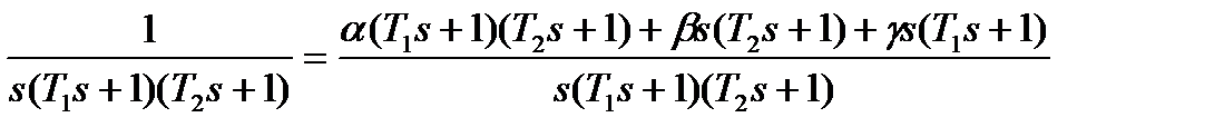
Представим дробно-рациональное выражение образа выхода в виде отдельных простых дробей:

.

Коэффициенты дробей определим при приведении их к общему знаменателю:

,

откуда (приравниваем нулю коэффициенты при s и s 2, а коэффициент при s 0 — единице)

, , .

Теперь находим по табл. 1.1 прообраз каждой из простых дробей.

 

 

Образ Прообраз
 

 

Окончательно получаем следующее выражение для введенной и освоенной мощности:

,

которое достаточно быстро сходится к полной мощности х.

 




Поделиться с друзьями:


Дата добавления: 2015-06-04; Просмотров: 452; Нарушение авторских прав?; Мы поможем в написании вашей работы!


Нам важно ваше мнение! Был ли полезен опубликованный материал? Да | Нет



studopedia.su - Студопедия (2013 - 2026) год. Все материалы представленные на сайте исключительно с целью ознакомления читателями и не преследуют коммерческих целей или нарушение авторских прав! Последнее добавление




Генерация страницы за: 0.012 сек.