Студопедия

КАТЕГОРИИ:


Архитектура-(3434)Астрономия-(809)Биология-(7483)Биотехнологии-(1457)Военное дело-(14632)Высокие технологии-(1363)География-(913)Геология-(1438)Государство-(451)Демография-(1065)Дом-(47672)Журналистика и СМИ-(912)Изобретательство-(14524)Иностранные языки-(4268)Информатика-(17799)Искусство-(1338)История-(13644)Компьютеры-(11121)Косметика-(55)Кулинария-(373)Культура-(8427)Лингвистика-(374)Литература-(1642)Маркетинг-(23702)Математика-(16968)Машиностроение-(1700)Медицина-(12668)Менеджмент-(24684)Механика-(15423)Науковедение-(506)Образование-(11852)Охрана труда-(3308)Педагогика-(5571)Полиграфия-(1312)Политика-(7869)Право-(5454)Приборостроение-(1369)Программирование-(2801)Производство-(97182)Промышленность-(8706)Психология-(18388)Религия-(3217)Связь-(10668)Сельское хозяйство-(299)Социология-(6455)Спорт-(42831)Строительство-(4793)Торговля-(5050)Транспорт-(2929)Туризм-(1568)Физика-(3942)Философия-(17015)Финансы-(26596)Химия-(22929)Экология-(12095)Экономика-(9961)Электроника-(8441)Электротехника-(4623)Энергетика-(12629)Юриспруденция-(1492)Ядерная техника-(1748)

Управление динамическими системами




 

Под управлением понимается прямое воздействие на систему, направ­ленное на достижение заданного результата.

 


В этом заключается основное отличие управления от регулиро­вания, которое осуществляется на основе сравнения регулируемого (выходного) показателя с задающим (входным).

 


Под оптимальным управлением понимается выбор из множества возможных такого варианта управления, который по заданному крите­рию является оптимальным.

 

Выше последовательно были исследованы все более усложняю­щиеся системы от линейных односвязных до нелинейных много­связных. Как видно из этого исследования, поведение любой нели­нейной многосвязной системы описывается следующими уравне­ниями движения:

(1.6.1)

где у — вектор фазовых координат, задающий состояние системы;

x — вектор внешних (входных) задающих и (или) возмущающих

воздействий на систему;

начальные значения фазовых переменных.

Если возмущающие воздействия пренебрежимо малы, некото­рые из задающих воздействий становятся управляющими, а некото­рые являются заданными известными функциями времени, то при­ходим к следующим уравнениям для управляемой динамической системы:

(1.6.2)

где и — вектор управляющих параметров, ;

область допустимых значений управляющих параметров.

Управляющая траектория (управление) называется допусти­мой, если она кусочно-непрерывна и в точках разрыва непрерывна слева:

и, кроме того, при любом .

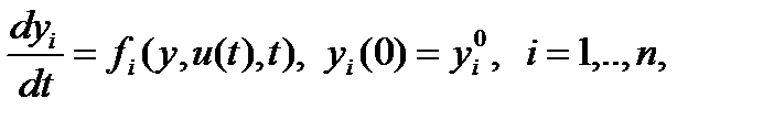
Если задан закон управления, т.е. определена допустимая управ­ляющая траектория , то уравнения для фазовых переменных принимают вид:

(1.6.3)

тем самым при любых начальных условиях однозначно оп­ределяется решение.

В качестве критерия оптимальности выбирается некоторый функ­ционал от фазовой и управляющей траекторий, который подлежит максимизации (минимизации):

(1.6.4)

где — возможное конечное значение вектора состояния.

Согласно принципу максимума Понтрягина, описанному в При­ложении 3, алгоритм нахождения оптимального решения задачи (1.6.3), (1.6.4) заключается в следующем.

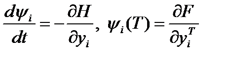
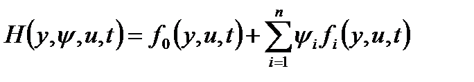
1. Для каждого уравнения движения (1.6.3) вводится двойствен­ная (сопряженная) переменная .

2. Строится функция Гамильтона (гамильтониан):

, (1.6.5)

3. Формируются уравнения для сопряженных переменных:

, (1.6.6)

4. При фиксированных yt у, г определяются значения управ­ляющих параметров, доставляющих максимум гамильтониану:

(1.6.7)

5. Из участков уравнений ,удовлетворяющих при каждом соотношению (1.6.7), формируется оптимальная управляющая траек­тория .

 




Поделиться с друзьями:


Дата добавления: 2015-06-04; Просмотров: 720; Нарушение авторских прав?; Мы поможем в написании вашей работы!


Нам важно ваше мнение! Был ли полезен опубликованный материал? Да | Нет



studopedia.su - Студопедия (2013 - 2025) год. Все материалы представленные на сайте исключительно с целью ознакомления читателями и не преследуют коммерческих целей или нарушение авторских прав! Последнее добавление




Генерация страницы за: 0.007 сек.