Студопедия

КАТЕГОРИИ:


Архитектура-(3434)Астрономия-(809)Биология-(7483)Биотехнологии-(1457)Военное дело-(14632)Высокие технологии-(1363)География-(913)Геология-(1438)Государство-(451)Демография-(1065)Дом-(47672)Журналистика и СМИ-(912)Изобретательство-(14524)Иностранные языки-(4268)Информатика-(17799)Искусство-(1338)История-(13644)Компьютеры-(11121)Косметика-(55)Кулинария-(373)Культура-(8427)Лингвистика-(374)Литература-(1642)Маркетинг-(23702)Математика-(16968)Машиностроение-(1700)Медицина-(12668)Менеджмент-(24684)Механика-(15423)Науковедение-(506)Образование-(11852)Охрана труда-(3308)Педагогика-(5571)Полиграфия-(1312)Политика-(7869)Право-(5454)Приборостроение-(1369)Программирование-(2801)Производство-(97182)Промышленность-(8706)Психология-(18388)Религия-(3217)Связь-(10668)Сельское хозяйство-(299)Социология-(6455)Спорт-(42831)Строительство-(4793)Торговля-(5050)Транспорт-(2929)Туризм-(1568)Физика-(3942)Философия-(17015)Финансы-(26596)Химия-(22929)Экология-(12095)Экономика-(9961)Электроника-(8441)Электротехника-(4623)Энергетика-(12629)Юриспруденция-(1492)Ядерная техника-(1748)

Интегрирование одномерных интегралов




Интегрирование одномерных определенных интегралов методом Монте-Карло производится по написанному ниже алгоритму.

, (1)

 

 

где xi - равномерно распределенная случайная величина, f(x) - подынтегральная функция, N - количество - количество случайных аргументов xi, b и a -.верхний и нижний пределы интегрирования. В Маткаде имеется встроенная функция rnd(x), возвращающая равномерно распределенную случайную величину в диапазоне 0 - x. Для решения задач методом Монте-Карло необходимо составить программу с использованием этой функции.

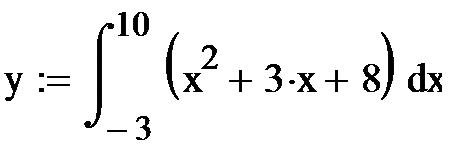
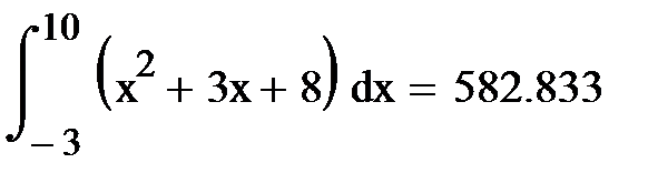
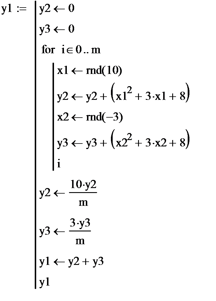
Пример1. Вычислить методом Монте-Карло приведенный ниже интеграл. Приведено решение методом Монте-Карло и численным методом

 

 

 

 

 

 

Пример 2. Вычислить методом Монте-Карло интеграл

 

 

Задача отличается от предыдущей тем, что нижний предел не равен нулю, а функция rnd(х) вычисляет случайные числа в пределах 0-х. Поэтому здесь вычисляются два интеграла

 

 

 

 

 

 

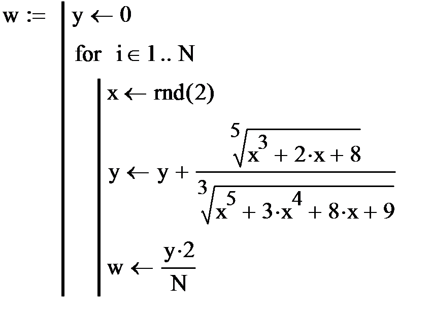
Задача 2. Вычислить методом Монте-Карло и с помощью встроенных функций Маткада нижеприведенные интегралы. Записать ошибку:


 




Поделиться с друзьями:


Дата добавления: 2015-06-27; Просмотров: 1326; Нарушение авторских прав?; Мы поможем в написании вашей работы!


Нам важно ваше мнение! Был ли полезен опубликованный материал? Да | Нет



studopedia.su - Студопедия (2013 - 2026) год. Все материалы представленные на сайте исключительно с целью ознакомления читателями и не преследуют коммерческих целей или нарушение авторских прав! Последнее добавление




Генерация страницы за: 0.011 сек.