Студопедия

КАТЕГОРИИ:


Архитектура-(3434)Астрономия-(809)Биология-(7483)Биотехнологии-(1457)Военное дело-(14632)Высокие технологии-(1363)География-(913)Геология-(1438)Государство-(451)Демография-(1065)Дом-(47672)Журналистика и СМИ-(912)Изобретательство-(14524)Иностранные языки-(4268)Информатика-(17799)Искусство-(1338)История-(13644)Компьютеры-(11121)Косметика-(55)Кулинария-(373)Культура-(8427)Лингвистика-(374)Литература-(1642)Маркетинг-(23702)Математика-(16968)Машиностроение-(1700)Медицина-(12668)Менеджмент-(24684)Механика-(15423)Науковедение-(506)Образование-(11852)Охрана труда-(3308)Педагогика-(5571)Полиграфия-(1312)Политика-(7869)Право-(5454)Приборостроение-(1369)Программирование-(2801)Производство-(97182)Промышленность-(8706)Психология-(18388)Религия-(3217)Связь-(10668)Сельское хозяйство-(299)Социология-(6455)Спорт-(42831)Строительство-(4793)Торговля-(5050)Транспорт-(2929)Туризм-(1568)Физика-(3942)Философия-(17015)Финансы-(26596)Химия-(22929)Экология-(12095)Экономика-(9961)Электроника-(8441)Электротехника-(4623)Энергетика-(12629)Юриспруденция-(1492)Ядерная техника-(1748)

Интегрирование многомерных интегралов




Многомерные интегралы


вычисляются методом Монте - Карло по алгоритму

 

где хi-случайная равномерно распределенная величина, -подынтегральная функция, bi, ai (i=1,2,…n)- верхний и нижний пределы интегрирования.

Многомерные интегралы вычисляются в Маткаде методом Монте-Карло с помощью встроенной функции runif(m,a,b), возвращающей вектор из m равномерно распределенных случайных чисел в пределах от a до b.

Пример3 Вычислить методом Монте-Карло и обычным численным интеграл

 

Данный интеграл имеет одинаковые пределы, что облегчает задачу.

 

 

 

 

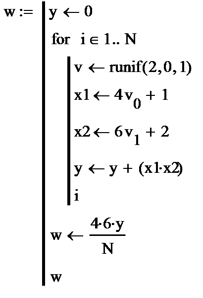
Пример 4. Вычислить методом Монте-Карло и обычным численным методом интеграл

 

 

 

 

 

 

Так как интегралы имеют различные пределы, мы формируем функцией runif вектор v с диапазоном вычислений от нуля до единицы, а затем преобразуем составляющие этого вектора, так, чтобы выдерживались заданные пределы.

Для многомерных интегралов большой размерности вычисление методом Монте-Карло происходит значительно быстрее, чем при использовании встроенной функции интегрирования. Так, интеграл

вычисляется на компьютере с тактовой частотой 2 гигагерца встроенной функцией интегрирования более получаса, а методом Монте-Карло- при N=100000 менее двух минут.

Задача 3. Вычислить нижеприведенные интегралы с помощью встроенных функций Маткада и методом Монте-Карло. Сравнить результаты

 




Поделиться с друзьями:


Дата добавления: 2015-06-27; Просмотров: 1364; Нарушение авторских прав?; Мы поможем в написании вашей работы!


Нам важно ваше мнение! Был ли полезен опубликованный материал? Да | Нет



studopedia.su - Студопедия (2013 - 2026) год. Все материалы представленные на сайте исключительно с целью ознакомления читателями и не преследуют коммерческих целей или нарушение авторских прав! Последнее добавление




Генерация страницы за: 0.011 сек.