Студопедия

КАТЕГОРИИ:


Архитектура-(3434)Астрономия-(809)Биология-(7483)Биотехнологии-(1457)Военное дело-(14632)Высокие технологии-(1363)География-(913)Геология-(1438)Государство-(451)Демография-(1065)Дом-(47672)Журналистика и СМИ-(912)Изобретательство-(14524)Иностранные языки-(4268)Информатика-(17799)Искусство-(1338)История-(13644)Компьютеры-(11121)Косметика-(55)Кулинария-(373)Культура-(8427)Лингвистика-(374)Литература-(1642)Маркетинг-(23702)Математика-(16968)Машиностроение-(1700)Медицина-(12668)Менеджмент-(24684)Механика-(15423)Науковедение-(506)Образование-(11852)Охрана труда-(3308)Педагогика-(5571)Полиграфия-(1312)Политика-(7869)Право-(5454)Приборостроение-(1369)Программирование-(2801)Производство-(97182)Промышленность-(8706)Психология-(18388)Религия-(3217)Связь-(10668)Сельское хозяйство-(299)Социология-(6455)Спорт-(42831)Строительство-(4793)Торговля-(5050)Транспорт-(2929)Туризм-(1568)Физика-(3942)Философия-(17015)Финансы-(26596)Химия-(22929)Экология-(12095)Экономика-(9961)Электроника-(8441)Электротехника-(4623)Энергетика-(12629)Юриспруденция-(1492)Ядерная техника-(1748)

Раскрытие неопределенностей




ПРИМЕНЕНИЕ ПРОИЗВОДНЫХ В ИССЛЕДОВАНИИ ФУНКЦИЙ

 

Правило Лопиталя

 

Отношение двух функций при x a есть неопределенность вида , если

 

 

Раскрыть эту неопределенность означает вычислить предел , если он существует.

ТЕОРЕМА (теорема Лопиталя). Пусть функции f(x) и g(х) определены и дифференцируемы в некоторой окрестнос­ти точки а за исключением, быть может, самой точки a. Кроме того, пусть , причем g'(х) ≠ 0 в указанной окрестности точки а. Тогда если существует предел отношения (конечный или бесконечный), то существует и предел , причем справедлива формула

 

=

 

Эту теорему обычно называют правилом Лопиталя.

Замечание 1. Правило Лопиталя можно применять повторно, если f'(x) и g'(х) удовлетворяют тем же требо­ваниям, что и исходные функции f(x) и g(х).

Замечание 2. Теорема остается верной и в случае, когда x→∞ (х ± ).

 

Неопределенности вида

Отношение двух функций при х а называется неопределенностью вида , если (-или +).

Правило Лопиталя остается справед­ливым при замене условия на условие .

Пример: Найти lim x/ex

x→∞

 

Решение: lim x/ex = [∞/∞] = lim x'/(ex)' = lim 1/ex = 0

x→∞ x→∞ x→∞

 

Другие виды неопределенностей

Неопределенности вида 0 ∙ и можно свести к неопределенностям вида и . Покажем это на примерах.

 

Пример: Найти предел x ln x.

Решение. Здесь неопределенность вида 0 ∙ . Преобразуем функцию под знаком предела: х ln х = и теперь уже имеем неопределенность вида при х 0 +. Теперь, применяя правило Лопиталя, получаем

 

Пример: Найти (cosec x — ctg x).

Решение. Это неопределенность вида . Преобразуя функцию под знаком предела, получаем

 

(4)

 

Неопределенность (4) вида при х 0. Согласно правилу Ло­питаля

 

 

Рассмотрим неопределенности вида 00, 1, 0, возникаю­щие при вычислении пределов функций у = и(х)v(x). Неопреде­ленности этого вида сводятся к неопределенности вида 0 ∙ с помощью тождественного преоб­разования

 

(5)

Пример: Найти предел .

Решение. Это предел вида 00; используя формулу (5), имеем с учетом решения первого примера

 

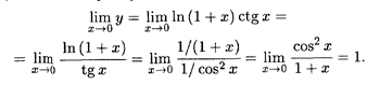
Пример: Найти предел

 

Решение. Это предел вида 1. Найдем предел функции у = ctg x ln(1 + x) при x 0. В соответствии с представлением (5) имеем следующую цепочку равенств:

 

 

Следовательно, искомый предел равен

 

Разложение функций по формуле Маклорена

Функцию f (x), имеющую (n + 1) производных в точке х = 0, можно представить по формуле Маклорена вместе с остаточным членом:

(6)

 

Пример: f (x) = еx.

Решение. Поскольку (ex)( n ) = eх, f(n) (0) = е 0 = 1 для любого п, формула Маклорена (6) имеет вид

 

(7)

 

Формула (7) используется для вычисления числа е с лю­бой необходимой точностью. Отсюда при х = 1 получаем при­ближенное значение числа е ≈ 2,7182818....

Формула (6) представляет собой асимптотичес­кую формулу (или оценку) для функции eх при x 0. Аналогичные раз­ложения можно получить с использованием формулы (6) и для других функций. Асимптотические формулы эффективно применяются при вычислении пределов функций.

 

 




Поделиться с друзьями:


Дата добавления: 2014-01-05; Просмотров: 576; Нарушение авторских прав?; Мы поможем в написании вашей работы!


Нам важно ваше мнение! Был ли полезен опубликованный материал? Да | Нет



studopedia.su - Студопедия (2013 - 2026) год. Все материалы представленные на сайте исключительно с целью ознакомления читателями и не преследуют коммерческих целей или нарушение авторских прав! Последнее добавление




Генерация страницы за: 0.011 сек.