Студопедия

КАТЕГОРИИ:


Архитектура-(3434)Астрономия-(809)Биология-(7483)Биотехнологии-(1457)Военное дело-(14632)Высокие технологии-(1363)География-(913)Геология-(1438)Государство-(451)Демография-(1065)Дом-(47672)Журналистика и СМИ-(912)Изобретательство-(14524)Иностранные языки-(4268)Информатика-(17799)Искусство-(1338)История-(13644)Компьютеры-(11121)Косметика-(55)Кулинария-(373)Культура-(8427)Лингвистика-(374)Литература-(1642)Маркетинг-(23702)Математика-(16968)Машиностроение-(1700)Медицина-(12668)Менеджмент-(24684)Механика-(15423)Науковедение-(506)Образование-(11852)Охрана труда-(3308)Педагогика-(5571)Полиграфия-(1312)Политика-(7869)Право-(5454)Приборостроение-(1369)Программирование-(2801)Производство-(97182)Промышленность-(8706)Психология-(18388)Религия-(3217)Связь-(10668)Сельское хозяйство-(299)Социология-(6455)Спорт-(42831)Строительство-(4793)Торговля-(5050)Транспорт-(2929)Туризм-(1568)Физика-(3942)Философия-(17015)Финансы-(26596)Химия-(22929)Экология-(12095)Экономика-(9961)Электроника-(8441)Электротехника-(4623)Энергетика-(12629)Юриспруденция-(1492)Ядерная техника-(1748)

Метод статистических игр 1 страница




Известно, что спрос на товары формируется под воздействием различных факторов, в том числе моды, вкусов, предпочтений покупателей, природно-кли­матических факторов. Эти факторы обусловливают сезонный спрос на товары, так как на спрос сильное влияние оказывает изменение указанных факторов. Влияние перечисленных выше факторов на изменение спроса особенно сказыва­ется на товарах легкой промышленности (обувь, одежда, текстиль, галантерея и т.д.). Не проданные вовремя товары могут и в будущем не найти своих покупате­лей, что приведет к потерям, росту торговых издержек. В связи с этим торговые предприятия в конце сезона организуют расширенную распродажу сезонных то­варов по сниженным ценам. Понятно, что решение о размере снижения цен при сезонной распродаже не может приниматься необдуманно. Прежде всего должна учитываться предполагаемая реакция покупателей на снижение цен сезонных то­варов, которая, как известно, измеряется эластичностью спроса от цены. На прак­тике эластичность спроса от цены изучается применительно к основным потреби­тельским товарам и товарным группам (например, мужская одежда). Эластич­ность спроса от цены на отдельные конкретные изделия (например, швейные, текстильные), продажа которых носит сезонный характер, неизвестна. В этой связи можно полагать, что сезонное снижение цен имеет характер игры торгового предприятия с природой. Принятие решения о размере снижения цен может рас­сматриваться как поиск оптимальных цен в условиях неопределенности, что предполагает возможность использования теории статистических игр.

Сущность и общая структура статистических игр. Статистическая тео­рия игр является составной частью общей теории игр, представляющей собой раздел современной прикладной математики, содержанием которой являются ме­тоды обоснования оптимальных решений в конфликтных ситуациях.

Терминология, которой пользуются в теории игр, ведет свое происхождение от спортивных и азартных игр. Эти игры носят характер соревнования, которое проводится по определенным правилам и заканчивается выигрышем того или другого игрока. В соответствии с этим и в теории игр стороны, участвующие в игре, условно именуются игроками, а оценка исхода игры — выигрышем (или проигрышем, платежом). При этом игроками могут быть как отдельные личнос­ти, так и целые коллективы людей, имеющих общие цели. В игре могут сталки­ваться интересы двух и более противников. В первом случае игра называется пар­ной, во втором — множественной. Наиболее простой и теоретически разработан­ной является игра двух лиц с нулевой суммой. В этой игре сумма выигрышей всех оперирующих сторон равна нулю. Здесь один игрок выигрывает ровно столько, сколько проигрывает второй.

Объектом нашего изучения является парная статистическая игра, базирую­щаяся на теории матричных игр двух лиц с нулевой суммой.

В теории статистических игр различают такие понятия, как исходная стратеги­ческая игра и собственно статистическая игра. В этой теории 1-го игрока называют природой, под которой понимают совокупность обстоятельств, в условиях которых приходится принимать решения 2-му игроку, называемому статистиком.

В стратегической игре как 1-й, так и 2-й игроки действуют активно, оба заин­тересованы выиграть, оба стремятся выбирать выгодные им стратегии. Для стра­тегической игры характерна полная неопределенность в выборе стратегий каж­дым игроком, т.е. каждый игрок ничего не знает о стратегии другого. В стратеги­ческой игре оба игрока действуют на основе детерминированной информации, определенной матрицей потерь.

В собственно статистической игре природа не является активно действую­щим игроком в том смысле, что она не выбирает для себя всегда оптимальные стратегии, так как не заинтересована выиграть игру и не оказывает противодейст­вия достижению цели 2-м игроком. Статистик (2-й игрок) в статистической игре стремится выиграть игру у воображаемого противника — природы. Если в страте­гической игре игроки действуют в условиях полной неопределенности, то для статистической игры характерна частичная неопределенность. Дело в том, что природа развивается и "действует" в соответствии со своими объективно сущест­вующими законами. У статистика есть возможность постепенно изучать эти зако­ны (на основе статистического эксперимента), выявлять механизм, который с учетом устанавливаемых вероятностей реализует разные состояния (стратегии) природы.

Таким образом, безразличие природы к игре и возможность получения ста­тистиком в ходе соответствующего статистического эксперимента дополнитель­ной статистической информации о состоянии природы отличают игру статистика с природой от обычной стратегической игры, в которой принимают участие два заинтересованных антагонистических противника.

Введем обозначения:

Q - множество состояний (стратегий) природы, £1 - (9i,9К); 9j — отдельное состояние (стратегия) природы (j «1, 2, к); А - множество решений (стратегий) статистика, А - (а4е); ai - отдельное решение статистика (i - 1,...Д);

L(0lfa.) _ функция потерь (платежа) статистика или платежная матрица с "к" строками и "1" столбцами. Функция потерь определяется как произведение множеств состояний природы и решений стати­стика.

Исходная стратегическая игра обычно имеет три параметра (Q, A, L), так как ее основу составляет детерминированная информация, определяемая функцией потерь. Если статистик не имеет возможности провести эксперимент с целью по­лучения дополнительной статистической информации о состоянии природы, то при принятии решения он будет ограничиваться исходной стратегической игрой. Если же статистик может провести статистический эксперимент и получить на его основе дополнительную статистическую информацию о состоянии природы, то функция потерь L(8i, ai) в исходной стратегической игре уже не будет удовле­творять статистика как основа принятия решения. Имея дополнительную инфор­мацию о состоянии природы, статистик при принятии решения будет руковод­ствоваться какой-то функцией решения, и в результате исходная стратегичес­кая игра (£2, A, L) превращается в собственно статистическую игру (£2, Д, R). До­полнительная информация в собственно статистической игре выступает в виде вектора оценок X = (xi, хг,..., хк) состояний природы (9i,...,-9к). Заметим, что до­полнительную статистическую информацию о состоянии природы статистик может получить не только на основе собственного эксперимента (например, ан­кетного опроса), но и на основе собственного опыта и интуитивного представле­ния о том, какие из состояний природы являются более правдоподобными, а какие — менее.

Статистик, получив дополнительную информацию о состоянии природы в виде вектора оценок X = (xi,... хк) состояний природы (9ь... 9К), как отмече­но выше, будет теперь при принятии решения а е А руководствоваться какой-то функцией решения d(x). Функция d(x), отображающая множество выбо­рок экспериментов X в множестве решений статистика А = (ai, аг,.... ai), на­зывается нерандомизированной функцией решения статистика. Эта функция показывает статистику, какое решение а е А он должен выбрать, когда наблю­дается результат эксперимента х. Существует много функций решения d(x), которыми мог бы воспользоваться статистик. Множество всех нерандомизиро­ванных функций решения d(x), которое представляет собой множество всех стратегий статистика, обозначается через Д. Статистик ищет оптимальную функцию решения d е Д, которая будет его стратегией. Для сравнения различ­ных функций решения и выбора из них наилучшей статистик должен знать их характеристики и критерии выбора. Числовой характеристикой функции ре­шения d(x) является функция риска R(0, d), представляющая собой матема­тическое ожидание функции потерь при некотором состоянии природы 9 и за­данной функции условного распределения случайной переменной ХР (х/0), так как а = d(x). Для фиксированного состояния природы 9 и выбранной функции решения d € Д риск R(6, d) играет роль платежа в игре статистика с природой.

Этот платеж будет средней потерей статистика, если многократно использу­ется функция решения d е Д, а природа принимает состояние 9 е П.

Функция риска определяется как произведение Q х Д (множества состояний природы и множества функций решения). Для каждой нерандомизированной

функции решения dmе Д риск для каждого состояния природы 8j (j- 1, 2,..., к)

определяется по формуле:

где P (xi|8j} — условная вероятность оценки Xi при состоянии природы 0j (i =1,2,..., t; j — 1, 2,..., к).

Далее в матрице функции риска R(9,d) ведется поиск минимальной страте­гии, для чего в каждом столбце матрицы отыскивается наибольший элемент, а затем среди них выбирается минимальный. Столбец с этим минимальным эле­ментом указывает искомое решение статистика в зависимости от результата экс­перимента.

Пример. Торговое предприятие имеет 500 нераспроданных женских летних платьев, средняя цена которых равна 200 руб., а затраты на их приобретение у производителя сооставили 120 руб. Предприятие знает, что мода на такой товар быстро меняется, и в будущем можно не найти на него покупателей. Если платья вовремя не продать, то увеличатся торговые запасы и издержки. Предприятие ре­шает снизить цены, чтобы вызвать дополнительный спрос на платья. Однако ре­шение о размере снижения цен при сезонной распродаже товаров должно быть обдуманным, чтобы потери торгового предприятия были минимальными. Пред­приятие решает рассмотреть четыре варианта снижения цены — на 20,30,40,50%. При этом оно должно учитывать предполагаемую реакцию покупателей на сезон­ное снижение цен, которая измеряется эластичностью спроса от цены, показы­вающей, на сколько процентов в среднем возрастает спрос на товар, если цена его снижена на 1%. Эластичность спроса от цены определяется по формуле:

где Э — эластичность спроса от цены;

К — спрос на товар при заданной цене (Ц) на него; АЦ — абсолютное изменение цены;

АК — прирост спроса на товар при снижении цены на него на величину АЦ.

Итак, требуется определить оптимальный размер снижения цены на платья, при котором потери торгового предприятия будут минимальными.

В рассматриваемой задаче в качестве 2-го игрока (статистика) выступает торговое предприятие. В качестве 1-го игрока (природы) - реакция покупателей на изменение цены на рассматриваемые платья, т.е. эластичность спроса от цены, о которой торговое предприятие в данный момент знает лишь то, что этот спрос на платья может быть как малоэластичным, так и высокоэластичным. Каким в Действительности является этот спрос, предприятие не знает, однако может вы­явить его либо на основе результатов экспресс-опроса, либо в информации, полу­ченной на основе ранее проведенных наблюдений и расчетов. В качестве показа­телей, характеризующих стратегию природы, выступает распределение вероят­ностей, с которыми природа применяет отдельные свои стратегии (малую и высо­кую эластичность спроса). Следовательно, сезонное снижение цен имеет характер игры торгового предприятия с природой и может определяться на основе теории статистических игр.

Составим структуру статистической игры, соответствующую проблеме се­зонного снижения цен.

Введем обозначения:

Q — множество возможных состояний природы, включающее два Q = {Qit Э2) элемента, где 6i соответствует малоэластичному спросу на данную группу одеж­ды при изменении цены, а 02 означает, что эластичность спроса от цены высокая;

А — множество возможных решений торгового предприятия, включающее четыре элемента: А = {ai, а2, а3, а4}, где at - решение снизить цену на данный товар в среднем на 20%; а2 — на 30%; аз — на 40%; а4 — на 50%;

L(9, а) — функция потерь торгового предприятия, которая имеет конечное число 2x4 значений.

Каждый элемент этой функции потерь определяется на основе следующих данных:

1) количество не распроданных платьев — 500 шт.;

2) закупочная цена товара — 120 руб.;

3) продажная цена товара — 200 руб.;

4) решение торгового предприятия о снижении продажной цены на 20,30,40, 50%;

5) коэффициенты эластичности при малой эластичности спроса от цены на аналогичные товары принимаем в размере 1; 1; 1,1; 1 и при высокой эластичности спроса от цены в размере 1,5; 2,33; 2; 1,8;

6) предполагаемый объем продажи платьев (шт.) в результате снижения цен (его надо определить).

Предполагаемый объем продажи платьев в результате снижения цены опре­деляется по формуле эластичности спроса от цены, которая имеет вид:

Откуда:

 

Поскольку ~ = а, т.е. проценту снижения цены, то предполагаемый объем

продаж, в зависимости от коэффициента эластичности

может быть вычислен по формуле:

(Заметим, что если правая часть этого равенства станет больше К, то принимаем
ДК - К). v

При состоянии природы 0] и 62 значения функции потерь для решений ai, аг. а3, а4 вычисляются как разность между закупочной стоимостью нераспродан­ных 500 платьев и выручкой от предполагаемого объема продаж после снижения цен.

Представим соответствующие расчеты в табл. 5.28 и 5.29 применительно к состоянию природы 8] и 92.



Новая цена (гр. 3 табл. 5.28) определяется так:

Так, новая цена при снижении средней цены на 20% будет равна:

Предполагаемый объем продаж в результате снижения цен (гр. 4 табл. 5.28) исчисляется по формуле:

Так, снижение цены соответственно на 20,30,40,50% вызовет приблизитель­но следующий дополнительный спрос на платья:


 




Предполагаемый объем продаж в результате снижения цен (гр. 4 табл. 5.29) составит:

Значения функции потерь.Цб, а) запишем в матрицу (табл. 5.30)

Анализируя значения функции потерь как элементы матрицы исходной стратегической игры (Q, A, L), можно заметить, что решения ajи ац доминируют-ся решением аз, т.е. потери при стратегии аз явно меньше, чем при стратегиях ai и а4. Учитывая ранее изложенные принципы стратегических игр, эти доминирую­щие стратегии 2-го игрока можно не принимать во внимание и вычеркнуть пер­вый и четвертый столбцы матрицы. Вычеркнув доминирующие решения, соот­ветствующие сезонному снижению цен на 20% и 50%, получим новую матрицу значений функций потерь (табл. 5.31).

Перед принятием одного из возможных решений 2 или а3) торговое пред­приятие проводит анкетный опрос покупателей. Цель опроса - понаблюдать как потенциальные покупатели будут реагировать на предлагаемое снижение цен, т.е. выяснить, каков реальный спрос на эти платья: малоэластичный 4) или высоко­эластичный 2). Это и есть дополнительная статистическая информация (оцен­ки) о состоянии природы.

В результате исходная стратегическая игра (Q, A, L) с представленной выше функцией потерь преобразуется в собственно статистическую игру (&

При проведении анкетного опроса покупатели должны ответить, к примеру, на вопрос: "При каком размере снижения цены (30, 40%) Вы не купили бы пла­тье? Не устраивающее Вас значение подчеркните". Результаты опроса будут иметь вид двумерного множества X = {xi, х2}, где xt— низкая оценка, а х2 — вы­сокая оценка эластичности спроса от цены. Например, представим, что результа­ты опроса показали, что на снижение цены на 30% согласны 10% опрошенных, на снижение цены на 40% — также 10%. Остальные 80% опрошенных не подчеркну­ли ни одно число, т.е. практически отказались от покупки. Вывод: спрос на платья в результате предполагаемого снижения цен оказался малоэластичным.

Торговое предприятие при принятии решения о сезонном снижении цен должно учитывать полученную в результате опроса информацию о спросе.

Учитывая возможность ошибок при проведении единовременного анкетного опроса случайно отобранных покупателей, примем следующие условные распре­деления результатов и х2 в зависимости от действительного состояния приро­ды 8i и 02, т.е. от мало- или высокоэластичного спроса:

Приведенные условные распределения результатов xi и х2 в зависимости от действительного состояния природы 0л и 02 являются априорными величина­ми, полученными на основе многих ранее проведенных наблюдений.

С учетом двух возможных экспериментальных значений оценок xi и х2, ко­торым соответствует одно из двух допустимых решений торгового предприятия — а2 или а3, множество нерандомизированных функций будет состоять из четырех элементов, т.е. число элементов множества Д = {di, d2, d3, d4}. Нерандомизиро­ванные функции для значений оценок xi и х2 приведены в табл. 5.32.



Нерандомизированные функции с учетом результатов эксперимента, как было-указано выше, помогают выбрать то или иное решение. Например, функция d3 означает, что нужно принять решение аз, если результатом эксперимента яв­ляется xi, и решение аг, если результатом эксперимента является х2. Для каждой из этих четырех нерандомизированных функций решения можно с учетом обоих состояний природы 0i и 02 вычислить значения функции риска R(0, d). Функ­ция риска R(0, d) определяется по формуле:

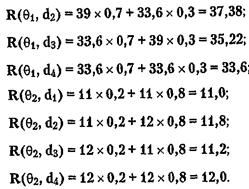
Для 9i и di получим R (9j, di>- 39 ж 0,7 + 39 x 0,3 - 39. Функция решения di как результату эксперимента xi, так и результату х2 приписывает решение аз, которое при действительном состоянии природы Gi обусловливает потерю 39 тыс. руб., причем соответствующие этому состоянию природы условные веро­ятности результатов xi и хг составляют 0,7 и 0,3.

Вычислим остальные значения функции риска:

Значения функции риска R (9, d) запишем в матрицу (табл. 5.33).

 

Для этой матричной игры находим оптимальное решение. Оптимальным будет такое решение о размере сезонного снижения цен на летние платья, которое максимально защищает торговое предприятие от высоких потерь. Наиболее осто­рожной функцией решения будет минимаксная стратегия статистика. Выбираем для каждого столбца матрицы значений функции риска максимальный элемент, а затем среди них — минимальный элемент и тем самым определяем столбец di с этим минимальным элементом.

В решаемой задаче среди максимальных элементов минимальным является число 33,6. Этому числу соответствует нерандомизированная минимаксная функ­ция решения сЦ.

Поскольку эта функция определялась при условии, что di(xi) = аз и d4 (x2) ш аз, то в данном случае оптимальной, т.е. наиболее осторожной, стратегией торгового предприятия, намечающего сезонное снижение цен на летние женские платья, будет стратегия снижения цен на 40%. Это относится к случаю, когда по резуль­татам анкетирования спрос оценивался как малоэластичный, так и к случаю, когда оценка указывала на высокоэластичный спрос.

 

Глава 8 МЕТОДОЛОГИЯ И ПРАКТИКА УПРАВЛЕНИЯ ЗАТРАТАМИ И ЦЕНАМИ НА ПРЕДПРИЯТИИ

8.1. Принятие решений предприятием с учетом предстоящих изменений затрат, цен и безубыточности производства

Методы калькулирования переменных затрат и маржинальный подход1 наибо­лее часто используются в процессе принятия краткосрочных решений, напри­мер, заменить или оставить старое оборудование, принять или отклонить спе­циальный заказ, производить или покупать комплектующие изделия, а также для определения структуры выпускаемой продукции в условиях ограниченных ресурсов (см. п. 7.1).

Рассмотрим еще ряд решений, которые приходится принимать предприятию с учетом затрат, цен, получаемой прибыли.

 

Определение структуры продукции с учетом лимитирующего фактора

При формировании производственной программы в условиях ограниченных про­изводственных мощностей часто приходится выбирать определенные виды про­дукции, которые приносят наибольшую прибыль.

Предположим, предприятие выпускает два вида продукции — А и В (табл. 8.1).

Таблица 8.1

Показатели Продукт А Продукт В
1. Цена за единицу, ден. ед.    
2. Переменные расходы на единицу, ден. ед.    
3. Маржинальная прибыль на единицу, ден. ед.    
4. Уровень маржинальной прибыли, % (стр. 3: стр. 1)    

 

Из табл. 8.1 видно, что продукт В приносит большую маржинальную прибыль, следовательно, именно его надо запускать в производство. Однако, если извест­но, что производственная мощность ограничена 1000 машино-часов и что за 1 час можно произвести 4 единицы товара А и 1 единицу товара В, анализ необходимо продолжить с учетом лимитирующих обстоятельств (табл. 8.2). В данном случае это время работы оборудования (машино-часы).

 

 

Таблица 8.2

 

Показатели Продукт А Продукт В
Количество единиц продукции, производимых за 1 час    
Маржинальная прибыль на единицу, ден. ед.    
Маржинальная прибыль за 1 час, ден. ед.    
Маржинальная прибыль за 1000 час, ден. ед. 24 ООО 12 000

 

Данные табл. 8.2 указывают на то, что следует выбрать продукт А, так как при его производстве достигается большая маржинальная прибыль на единицу лими­тирующего фактора.

Во многих случаях на практике действует не один, а несколько лимитирующих факторов. Тогда задача максимизации прибыли или минимизации затрат реша­ется при помощи линейного программирования.

Решение: купить или производить самим.

Очень часто перед руководством предприятия стоит задача: производить ком­плектующие изделия или покупать. Для ее правильного решения необходим учет многих факторов. Но главное в данной ситуации — определить все элементы за­трат и доходов, релевантных1 для такого рода решения. Соответствующий при­мер был рассмотрен в п. 7.1. В данном случае мы рассмотрим принимаемое решение, введя возможность альтернативного использования высвобождающихся производственных ресурсов.

Допустим, что компания выпускает детали «X» для станка. Данные о себестои­мости изготовления детали «X» представлены в табл. 8.3.

Таблица 8.3

Показатели Себестоимость изготовления детали «X», ден. ед.
Затраты на 10 000 деталей Затраты на 1 деталь
Основные материалы 15 000 1,50
Прямые трудозатраты 120 000 12,00
Переменные общепроизводст­венные расходы 60 000 6,00
Постоянные общепроизводст­венные расходы 75 000 7,50
Итого затрат 270 000 27,00

 

Компания получила предложение покупать деталь «X» за 24 ден. ед. На первый взгляд предприятие должно предпочесть покупку этой детали, так как это дешевле собственного изготовления на 3 ден. ед. за одну деталь. Но для оконча­тельного выбора между покупкой или производством следует проанализировать нею релевантную информацию.

Допустим, что из 75 ООО ден. ед. постоянных общепроизводственных расходов 45 ООО ден. ед. — расходы, которых нельзя избежать независимо от того, какое ре­шение будет принято. Это амортизация имеющегося оборудования, налоги на иму­щество, страховые выплаты, заработная плата управленческого персонала и др.

В табл. 8.4 приведена информация по статьям затрат, которые различаются для двух вариантов.

Таблица 8.4

Релевантные показатели Всего затрат Затраты на 1 деталь
производить купить производить купить
Затраты на покупку   240 000    
Основные материалы 15 000   1,50  
Прямые трудозатраты 120 000   12,0  
Переменные общепроизводствен­ные расходы 60 000   6,0  
Постоянные общепроизводственные расходы, без которых можно обой- 1ись в случае выбора «купить» (75 ООО - 45 ООО)     3,0  
Итого затрат 225 000 24 000 22,5 24,0
Разница в пользу «производить» (240 ООО - 225 ООО) 15 000 - 1,5 -

Главным в рассматриваемой проблеме является оптимальное использование производственных мощностей. Анализ проводится исходя из предпосылки, что освободившееся оборудование при отказе от производства детали «X» не будет использоваться иным способом. На самом деле оно может применяться для про­изводства других деталей и узлов, другой продукции, может быть сдано в арен­ду или использовано иным способом. Альтернативное использование высвободившегося оборудования и других производственных ресурсов может принести большую прибыль. Как правило, на практике предприятия сами производят ком­плектующие, если существующие производственные мощности нельзя исполь­зовать лучше.

Вернемся к нашему примеру. Допустим, что у нас есть еще два варианта ис­пользования освободившегося оборудования. Вместо детали «X» можно изготавливать другую продукцию с маржинальной прибылью 28 ООО ден. ед. или это обо­рудование можно сдать в аренду за 8000 ден. ед. Все варианты использования оборудования приведены в табл. 8.5.

Как видим, покупка детали «X» и использование освободившегося оборудова­нии для производства другом продукции с данной маржинальной прибылью — наилучший вариант, поскольку в ном случае затраты на «X» деталей минималь­ны 212 тыс. ден. ед.

 

Таблица 8.5 (в ден. ед.)

  Варианты
Показатели произво­дить покупать и не ис­пользовать оборудова­ние покупать и исполь­зовать оборудова­ние для производ­ства другой про­дукции покупать и сдавать оборудова­ние в аренду
Доходы от арендной платы        
Маржинальная прибыль от производства другой продукции     28 ООО  
Затраты на деталь «X» 225 ООО 240 ООО 240 ООО 240 000
Чистые релевантные затраты 225 ООО 240 ООО 212 000 232 000

Значит, в ситуации принятия решения «купить или производить» комплек­тующие для изделий, требующих сборочных операций, выбор оптимального решения основан не только на сравнении данных о себестоимости их изготовления и цене закупки, но и, главным образом, на анализе альтернативного использования высвобождаемого при этом оборудования и других производственных ресурсов.




Поделиться с друзьями:


Дата добавления: 2014-11-20; Просмотров: 1278; Нарушение авторских прав?; Мы поможем в написании вашей работы!


Нам важно ваше мнение! Был ли полезен опубликованный материал? Да | Нет



studopedia.su - Студопедия (2013 - 2026) год. Все материалы представленные на сайте исключительно с целью ознакомления читателями и не преследуют коммерческих целей или нарушение авторских прав! Последнее добавление




Генерация страницы за: 0.012 сек.