Студопедия

КАТЕГОРИИ:


Архитектура-(3434)Астрономия-(809)Биология-(7483)Биотехнологии-(1457)Военное дело-(14632)Высокие технологии-(1363)География-(913)Геология-(1438)Государство-(451)Демография-(1065)Дом-(47672)Журналистика и СМИ-(912)Изобретательство-(14524)Иностранные языки-(4268)Информатика-(17799)Искусство-(1338)История-(13644)Компьютеры-(11121)Косметика-(55)Кулинария-(373)Культура-(8427)Лингвистика-(374)Литература-(1642)Маркетинг-(23702)Математика-(16968)Машиностроение-(1700)Медицина-(12668)Менеджмент-(24684)Механика-(15423)Науковедение-(506)Образование-(11852)Охрана труда-(3308)Педагогика-(5571)Полиграфия-(1312)Политика-(7869)Право-(5454)Приборостроение-(1369)Программирование-(2801)Производство-(97182)Промышленность-(8706)Психология-(18388)Религия-(3217)Связь-(10668)Сельское хозяйство-(299)Социология-(6455)Спорт-(42831)Строительство-(4793)Торговля-(5050)Транспорт-(2929)Туризм-(1568)Физика-(3942)Философия-(17015)Финансы-(26596)Химия-(22929)Экология-(12095)Экономика-(9961)Электроника-(8441)Электротехника-(4623)Энергетика-(12629)Юриспруденция-(1492)Ядерная техника-(1748)

Лекция 4. (продолжение)




Проверка статистических гипотез о равенстве средних. При ис-
следовании часто возникает вопрос о сравнении центров распределения двух или более случайных величин. Здесь важно выяснить,
являются ли полученные статистические оценки математического
ожидания по разным выборкам оценкой одного и того же математического ожидания для определенного закона распределения F (х).

При проверке гипотез о равенстве средних вначале необходимо
проверить гипотезу о независимости одинаково нормально распре-
деленных случайных величин в выборке (х1, х2,..., хn) при неизвес-
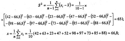
тных параметрах М (х) и D(x). Выборку записывают в том же порядке, в каком записывались результаты наблюдений, например, (42,
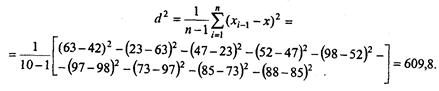
63, 23, 47, 52, 98, 97, 73, 85, 88). По имеющейся выборке вычисляем D(x) двумя способами:


 

 

Определяют статистику q = d2/2S2

Гипотеза о независимости случайных величин Н 0принимается
если

q ≥ qn(α),

где q(α) — табличное значение статистики q при объеме выборки n и
уровне значимости α(см. табл. 2.7) принимаем α = 0,010 тогда q 10 = 0 3759.

 

 

 

При уровне значимости α = 0,01 гипотеза о независимости Н 0
принимается, это говорит о том, что наблюдения имеют систематический сдвиг математических ожиданий.

Если принять, α= 0,05, то q 10(0,05) = 0,5311,
тогда Q =0,468< q10 (0,05) = 0,5311.

В этом случае гипотеза Н 0отвергается и принимается гипотеза о
зависимости результатов наблюдений Н 1т.е. наблюдения не соде-
ржат систематического сдвига математических ожиданий.
При n >60 для вычисления qn(α) используется формула

 


где n — объем выборки;

иα - критерий, определяемый при заданном α, как F (uα)=1- α,
и
определяется по таблице (см. приложение 1).

Гипотеза Н0 онезависимости случайных величин принимается
при условии

q ≥ qn2(α).

Проверка гипотез о равенстве средних в зависимости от условий проводится по разным критериям. Рассмотрим их.

 

Таблица 2. 7

Значения q-статистики


 

n α qn (α)
  0,001 0,010 - 0,050 0,2080 0,2690 0,4102
  0,001 0,010 0,050 0,2408 0,3759 0,5311
  0,001 0,010 0,050 0,3926 0,5203 0,6498
  0,001 0,010 0,050 0,4822 0,5975 0,7091
  0,001 0,010 0,050 0,5425 0,6467 0,7461
  0,001 0,010 0,050 0,5853 0,6814 0,7718
  0,001 0,010 0,050 - - 0,7906
 

1. Проверка гипотезы о равенстве средних двух выборок, сделанных из нормально распределенной совокупности с известной
величиной дисперсии D(х) и D(y), при nx>30 и ny>30 осуществляется сравнением статистики z b равной

и критического значения zα, определяемого как


где а — уровень значимости;

 

zα — значение, определяемое по таблицам (см. приложение 1) при
и= zα.

 

Гипотеза Н0 оравенстве средних принимается, если | z b|<zα. В
противном случае, когда | z b| > zα гипотеза Н0 отвергается и прини-
мается гипотеза Н 1отом, что средние нельзя считать равными т.е.
выборки nx и ny сделаны из разных генеральных совокупностей.

Пример. При испытании двух типов фильтров для очистки
воздуха в объемах nx= ny = 50 штук получено среднее значение
чистоты воздуха х = 92%, у = 96%. Проверить, является ли рас-
хождение значений х и у случайными, если известны D(x)= 0,09%;
D(y) = 0,04%.

Решение. Выдвигаем гипотезу Н0: М (х) = М (у). Определяем
статистику


При уровне значимости, а = 0,05, находим:


По таблице (см. приложение 1) находим и =za и za = 1,96.

Сравниваем zb = 8 >za = 1,96. Следовательно, гипотеза Н 0отвергается, так как имеются качественные различия между двумя
типами фильтров.

2. При малых объемах выборок: n x < 30, n y< 30, по которым
найдены и и выборочные дисперсии S x2 и S y2 гипотезу Н0: М(х) =М(у) проверяют вычислением статистики при альтерна-
тивной гипотезе Н 1: М(х) w М(у).


Гипотеза Н0 принимается при условии | Тb| < ta,k, где ta,k табличное значение критерия Стьюдента при заданном уровне значи-
мости а и числе степеней свободы K = n x+ny-2 (см. приложение 2).
При | Тb| < ta,k гипотеза Н0 отклоняется и принимается альтернативная гипотеза Н 1:М(х) w М(у).

Пример. При исследовании местности случайным образом были
отобраны 16 участков (nx=16) и установлено среднее число пораженных болезнью растений = 350 с дисперсией =16. Проверить, является ли расхождение среднего числа пораженных растений случайным или же болезнь пошла на убыль.

Решение. Выдвигаем гипотезу Н;. М(х) = М(у) при уровне
значимости а = 0,05 и определяем статистику Тb


По таблицам (см. приложение 2) находим

T0.05;16+20-2=t0.05;34 = 2.03.

Сравниваем Т =1,188 < 10.05;34=2,03.


Следовательно, принимаем гипотезу Н 0: М (x) = M (у), т.е. различие в среднем числе пораженных растений, измеренном в различные моменты времени, в данном случае объясняется случайностью
выборок.

3. Если выборка объемом n сделана из генеральной совокупно-
сти нормально распределенных величин х сизвестными М(х) = аk,
D(x) = а2,
то при уровне значимости а можно проверить гипотезу
Н 0: a = a0 предполагаемое значение математического ож

идания. Предложение о величине а оделается либо по результатам
выборки n, либо по имеющейся априорной информации о генеральной совокупности.

Для проверки гипотезы Н0: а=а 0
вычисляется статистика иb при конкурирующей гипотезе Н 1:a ≠ а о

Критическое значение и αопределяется по таблице (см. приложение 1) по заданному значению , как

Гипотеза Н0 принимается при условии


альтернативная гипотеза Н 1: аа0 принимается при условии

Пример. Разработанная схема очистки промышленных стоков
дает экономический эффект 88 руб. с 1т при среднем квадратическом отклонении

=5 руб./т. Обследовано сто очистных сооружений
(n =100) и определен средний экономический эффект = 90 руб./т.
Требуется при уровне значимости = 0,05 проверить гипотезу
Н0: аа0.

Р е ш е н и е. Определяем статистику иb


По таблице (см. приложение 1) находим иa

 

откуда u 0,05 = 1,96. Сравниваем ub = 4 > u 0,05 = 1,96.

Следовательно, гипотеза Н0: а = а0 отклоняется, т.е. выбороч-
ное и гипотетическое среднее различаются значимо.

4. При неизвестной дисперсии D(x) проверка гипотезы
Н 0: аа0, при конкурирующей гипотезе Н 1: аа0 проводится с
помощью статистики

 

где и S 2 — соответственно выборочные средние и дисперсия.

Критические значения статистики ta,k при заданном уровне значимости а и числе степеней свободы k = n - 1 выбирается по таблице (см. приложение 2).

Если Т b < ta,k, то тогда принимается гипотеза Н 0, при Тb > ta,k
гипотеза Н 0отклоняется и принимается гипотеза Н 1.

5. Имеется k выборок (k >2) из нормальных генеральных совокупностей с равными, но неизвестными дисперсиями. Необходимо
проверить гипотезу оравенстве средних Н0: а12 =... =аk при заданном уровне значимости α. Альтернативная гипотеза Н 1гово-
рит отом, что средние различны.

Для проверки гипотезы Н 0вычисляем статистику

где

Гипотеза Н0 принимается при

и отвергается при

где —табличное значение критерия при уровне значимости α и степенях свободы р1 = k — 1; р2 = nk которое выбирается по таблице
(см. приложение 6).

Пример. Имеется три выборки (k = 3), n 1 = 3, n2 =4, n 4 = 5 (n =12).

Вычисленное значение Fb = 0,43.

Решение. При α =0,05: р1= 3 - 1= 2; р2 = 12 - 3 = 9;

F 1-0,05;2,9 = 4,26. Тогда F b = 0,43 < F1-0,05;2,9 = 4,26, т.е. гипотеза о равенстве средних должна быть принята.

Проверка статистических гипотез о равенстве дисперсии. Дисперсии играют в экологии очень важную роль, поскольку измеряемая
дисперсией величина рассеивания характеризует такие важные показатели, как колебание точности тех или иных технологических процессов, например, зараженности различных участков местности, загрязненности участков водоемов и т.д. Средняя величина как бы сглаживает эти колебания, а дисперсия их выявляет.

Для проверки гипотез о равенстве дисперсий в различных генеральных совокупностях по независимым выборкам необходимо знать
такую функцию статистических оценок, распределение которой не
зависело бы от каких-либо неизвестных параметров.

Предположим, что независимые случайные величины х1, х2,..., хn 1,
распределены по закону F(x) с параметрами М(х) и D(x), которые
известны. Имеются также независимые нормально распределенные
F(y) случайные величины у1, у2,..., уn1 параметры M(y) и D(y) кото-
рых также известны. Нужно проверить гипотезу Н 0:оравенстве D (x) =D (y), предполагая, что эти два множества Х и У независимы.
При малых и средних объемах выборок для проверки гипотезы
Н0: D(x) = D(y) используется статистика

где и — дисперсии, определяемые по выборкам nx и ny, причем в

числитель ставится большая из двух дисперсий и .

Выборочное значение Fb сравнивается с критерием Фишера
при заданном уровне значимости α и числах степеней свободы
k
1 = n x - 1; k2 = ny - 1. Справедливость гипотезы Н 0подтверждается при условии

F b

значение определяется по таблице (см. приложение 6).

При Fb > гипотеза Н 0отвергается и принимается аль-
тернативная гипотеза Н 1: D(x)D(y).

Пример. Для проверки точности дозировки двух автоматов при
упаковке химического вещества отобраны от первого автомата 21
проба (nx = 21), от второго — 15 (ny = 15). По отобранным пробам
, определены выборочные среднеквадратические отклонения в дозировке Sx = 20г, Sy = 15г. Проверить гипотезу о том, что автоматы
имеют одинаковую точность, т.е. Н 0: D(x) = D(y), при уровне зна-
чимости α = 0,10 и конкурирующей гипотезе Н 1: D(x)D(y).

Решение. Вычисляем выборочную статистику

=

По уровню значимости, а = 0,10 и числу степеней свободы
k3 = nx — 1;

kM= ny 1, т.е. k3 = 14; kM= 20 находим по таблице
F 1-a/2;14,20 = 2,23 (см. приложение 6). Сравниваем

F b = 3,06 > F 1-a/2;14,20 = 2,23.

Следовательно, гипотезу Н 0оравной точности автоматов отвергаем, так как разницу в дозировке химического вещества нельзя
объяснить случайностью.

При больших объемах выборки статистику F b можно определять по формуле:

где .

При проверке гипотезы Н о: D(x) = D(y) сравнивают F' b и
U1-a/2, где уровень значимости; U1-a/2 — квантиль уровня
(1 — а/2) стандартного нормального распределения (см. приложение 1).
При F' b < U1-a/2,

где Ф(U1-a/2) = 1 — а/2 и х = U1-a/2, гипотеза Н 0
принимается, в противном случае, когда F' b ≤ U1-a/2, Н 0отвергается и
принимается гипотеза Н 1: D(x)D(y).

Если взята одна выборка n из генеральной совокупности, для
которой предполагаемое значение дисперсии равно , хотя сама
дисперсия D(x) неизвестна, то можно проверить при заданном уров-
не значимости гипотезу Н 0: D(x) = , при альтернативной гипоте-
зе Н 1: D(x). Для проверки гипотезы Но определяют статистику

где S2 — выборочная дисперсия;

— гипотетическая дисперсия.

Гипотеза Н 0принимается, если удовлетворяется условие

;

в противном случае принимается альтернативная гипотеза Н 1,где k — число степеней свободы, k = n — 1.

Критерий Пирсона и принимается по таблице
(см. приложение 3).

Пример. Для проверки правильности высева семян взяты 20
участков. Отклонение от нормы высева оценивалось среднеквадратическим отклонением числа семян на участке, оно составило S =16
семян. Требуется при заданном уровне значимости а = 0,1 прове-
рить нулевую гипотезу Н о: D(x) = , при норме = 225. Конку-
рирующая гипотеза Н 1: D(x).

Р е ш е н и е. Определяем — статистику

При = 0,10 и k = 20 — 1 =19 определяем по таблице (см.
приложение 3)

Записываем условие

,

т.е. принимается гипотеза Н 1: D(x) = . Это означает, что сеялка
настроена правильно в соответствии с заданной нормой и точностью высева.

Если исследуется нормально распределенные совокупности
х1, х2,..., хp, из которых извлечены независимые выборки n1, n2,...,
np
различных объемов, для которых определены дисперсии , ,
..., , то при заданном уровне значимости можно проверить гипотезу Н 0: D (x1) = D (x2) =... = D (хp)по критерию Бартлетта. Для этого определяют статистику

 


где

Величина является оценкой генеральной дисперсии D (x).
Гипотеза Н 0 принимается при условии

;

где k — число степеней свободы, k = р - 1; величина принимается
по таблице (см. приложение 3).
Критерий Бартлетта очень чувствителен к отклонениям от нормального распределения выборочных совокупностей. Если выборки равны n 1, n 2,..., np, то для проверки гипотезы
Н0: D (x1) = D (x 2) =... = D (xp) используют критерий Кохрена (Кочрена). Для проверки гипотезы Н0 вычисляют статистику

где — максимальная дисперсия из р дисперсий, т.е.

Полученное значение G b сравнивают с критическим значением
, k = n - 1; n — объем одной выборки. Гипотеза Н 0 принимается при условии

в противном случае принимается гипотеза Н 1: D(x 1) ≠ D(x 2) ≠... ≠ D(xp).
Значение принимается по таблице (см. приложение 7).
Пример. На 17 предприятиях региона в течение семи месяцев изучалась загрязненность промышленных стоков. Вычисленные эмпирические дисперсии для каждого из этих месяцев оказались равными: 0,067; 0,136; 0,168; 0,068; 0,066; 0,102; 0,107. Необходимо проверить гипотезу Н 0 об отсутствии существенного различия в загрязненности промышленных стоков за семь месяцев.
Решение. Вычисляем статистику

При уровне значимости = 0,05; р =7; k =17 — 1 =16;
F1-0,05;7;16= 0,27 (см. приложение 7). Тогда

G b = 0,235 < F1-0,05;7;16 = 0,27,

т.е. гипотеза H 0 об отсутствии существенного различия в загрязненности промышленных стоков в течение семи месяцев принимается.
Проверка статистических гипотез об однородности выборок. Для проверки однородности независимых выборок (х1, х2,..., хp) и (у1, у2,..., уn2) случайных величин х и у выдвигаем нулевую гипотезу H 0 о равенстве функций распределения H 0: F (x) = F (y), при уровне значимости и конкурирующей гипотезе Н 1: F (x) ≠ F (y). Если объем каждой из выборок не превосходит 25, проверку гипотезы H 0 проводят с помощью статистики W b. Для определения W b статистики располагают варианты обеих выборок в возрастающем порядке (табл. 2.8). Например, для выборок n x: 3, 4, 6, 10, 13, 17 и ny: 1, 2, 5, 7, 16, 20, 22 общий ряд будет иметь вид

Таблица 2.8

Определение вариантов выборок

Порядковый номер                          
Значение                          
Варианты y1 y2 х1 х2 y3 x3 y4 x4 x5 y5 x6 y6 y7

 

Определяем сумму порядковых номеров варианта выборки n x:

3+4+6+ 8+9+ 11=41.

Эта сумма принимается в качестве статистики Wb ( x ) = 41.
Для проверки гипотезы H о используется условие:

W н.к < W b(x) < W в.к

где W н.к и W в.к — нижнее (н.к) и верхнее (в.к) критические значения
критерия Вилкоксона (Уилкоксона). При заданном значении уровня значимости и объемах выборок n x и n y величина W н.к. определяется по таблице (см. приложение 8). Для нашего примера при = 0,01, n x = 6, n y = 7, величина

W н.к =


Если объем хотя бы одной из выборок превышает величину 25, значение W н.к определяется по формуле

где zкр определяется из условия по таблице (см. приложение 1).

x = zкр

Верхнее критическое значение величины W в.к во всех случаях
определяется по формуле

W в.к = (n x + n y +1) n x - W н.к.

Для нашего примера

W в.к = (6 +7 +1)6 — 24 = 60.

Тогда условие принятия гипотезы Н 0: F (x) = F (y) и

W н.к = 24 < W b(x) < W в.к = 60

соблюдается. Следовательно, можно считать, что выборки n x и n y принадлежат одной генеральной совокупности, т.е. выборки однородны. Проверка статистических гипотез о виде распределения случайных величин. При построении математической модели исследуемых процессов часто возникают задачи сопоставления полученного материала экспериментов с известными теоретическими распределениями. Если сопоставить вероятность попадания в интервалы, на которые разбита выборка, с соответствующими частотам и, полученными из наблюдений, или проводить графическое сравнение полигонов и гистограмм с некоторой теоретической функцией распределения, то можно получить представление о степени близости теоретического и эмпирического распределений. Наиболее широко для проверки статистических гипотез о сходимости теоретического и эмпирического распределения используется
критерий Пирсона ( — хи-квадрат). Рассмотрим его применение.
Пусть вся область изменения случайной величины х разбита на конечное число k (i = 1, 2,..., k) интервалов (в случае непрерывной величины) или групп (для дискретных величин). Например, в статистический ряд, полученный в результате эксперимента (табл. 2.9).

Таблица 2.9

Статистический ряд, полученный в результате эксперимента

Значение величины х i x 1 x 2 x i x k
Частота mi m 1 m2 mi …. mk

 


Пусть Рi есть вероятность для х при заданном распределении
F (x) принять значение, принадлежащее i -тому интервалу. Тогда те-
оретическое значение частоты в этом интервале будет определяться,
как mi,T = рin, где п — объем выборки.

Очевидно, что должны выполняться условия

; .

Если проверяемая гипотеза H 0: F (x) = F 0(x) где F 0(x) — предпо-
лагаемое теоретическое распределение, из которого извлечена вы-
борка, верна, то опытные значения тi и теоретические тi,T не должны значительно отличаться друг от друга, т.е. их расхождение не
должно быть большим.

В качестве меры расхождения рассматривается статистика ,
равная

При проверке гипотезы Н 0статистика сравнивается при заданном уровне значимости с табличным значением

При условии < , где (k - 1) — число степеней свободы,
гипотеза Н 0 принимается. В случае, если , гипотеза Н 0
отвергается и принимается альтернативная гипотеза Н 1: F(x)F 0(x).

При проверке гипотез о виде распределения с помощью критерия Пирсона следует учитывать некоторые условия и допущения,
влияющие на полученный результат.

1) Если гипотеза Н0 подтверждается, то это означает лишь су-
ществование некоторой функции F 1(х), которая приводит к тем же
значениям р i что и проверяемая функция F 0(x).

2) Рекомендуется число интервалов брать не менее 8 с количеством вариантов в интервале не менее 8, кроме крайних интервалов, в которых число вариантов может быть меньше 8.

Пример. Используя критерий Пирсона при уровне значимости
α = 0,05 проверить, согласуется ли гипотеза Н 0онормальном рас-
пределении генеральной совокупности х с эмпирическим распреде
лением выборки объема n = 200 (табл. 2.10).

Таблица 2.10

Выборка из генеральной совокупности

xi                 2,1
mi                  

 

Решение. По выборке определяем и S2.

.

Составляем статистическую таблицу (табл. 2.11). Для столбца
четыре вычисляем статистику

 

иi = (xi - ) /S.

 

Например,

иi =
= -1,62 и т.д.

По статистике иi находим р i по таблицам для нормального
распределения (см. приложение 9).

pi = φ (u i).

 

Например,

pi = φ (u1) = φ (-1,62) = 0,1074 и т.д.

Теоретическую частоту вычисляем с учетом ширины интервала
результатов наблюдения n = хi+1 - хi = 2 по формуле

тi,T = nh φ (иi) /S.

Например, для х 1


mi,T = = 9,15 и т.д.

 

Таблица 2.11

Статистическая таблица

Номер Частота mi Статистика ui Вероятность pi Теорети- ческая частота mi Относительная разность частот
интервала варианта xi
        5    
      — 1,62 0,1074 9,15 3,74
  7   — 1,20 0,1942 16,55 5,39
      — 0,77 0,2966 25,27 0,01
5     0,35 0,3752 32,00 0,13
      0,08 0,3977 33,90 0,23
      0,51 0,3503 29,85 2,62
      0,93 0,2589 22,05 0,17
      1,36 0,1582 13,50 3,13
      1,78 0,0818 7,0 5,14
    - - 189,27 20,56



и заполняем столбец 7, в котором определяем относительную разность частот

например, = =3,74 и т.д.

Суммируя по всем интервалам, получим:

 

 

Потаблице (см. приложение 3) находим

= 12,6

 

Так как

,

 

то гипотезу Н 0онормальном распределении генеральной совокуп-
ности отвергаем, т.е. эмпирические и теоретические частоты разли-
чаются значимо.

назад

 




Поделиться с друзьями:


Дата добавления: 2015-04-24; Просмотров: 1000; Нарушение авторских прав?; Мы поможем в написании вашей работы!


Нам важно ваше мнение! Был ли полезен опубликованный материал? Да | Нет



studopedia.su - Студопедия (2013 - 2026) год. Все материалы представленные на сайте исключительно с целью ознакомления читателями и не преследуют коммерческих целей или нарушение авторских прав! Последнее добавление




Генерация страницы за: 0.015 сек.